微信搜索关注"91考试网"公众号,领30元,获取公务员、事业编、教师等考试资料40G!
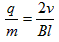
1、计算题 图中MN表示真空室中垂直于纸面的平板,它的一侧有匀强磁场,磁场方向垂直于纸面向里,磁感应强度大小为B。一带电粒子从平板上狭缝O处以垂直于平板的初速v射入磁场区域,最后到达平板上的P点。已知B、v以及P到O的距离L,不计重力,求此粒子的电荷e与质量m之比。

参考答案:解:粒子初速v垂直于磁场,粒子在磁场中受洛伦兹力而做匀速圆周运动
设其半径为R,由洛伦兹力公式和牛顿第二定律,有:
因为:
①
因粒子经O点时的速度垂直于OP,故OP是直径:L=2R ②
由此得:
③
本题解析:
本题难度:一般
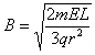
2、计算题 如图所示,空间分布着方向平行于纸面且与场区边界垂直的有界匀强电场,电场强度为E、场区宽度为L。在紧靠电场右侧的圆形区域内,分布着垂直于纸面向外的匀强磁场,磁感应强度B未知,圆形磁场区域半径为r。一质量为m、电荷量为q的带正电的粒子从A点由静止释放后,在M点离开电场,并沿半径方向射入磁场区域,然后从N点射出,O为圆心,∠MON=120°,粒子重力可忽略不计。求:
(1)粒子经电场加速后,进入磁场时速度的大小;
(2)匀强磁场的磁感应强度B的大小;
(3)粒子从A点出发到N点离开磁场经历的时间。

参考答案:解:(1)设粒子经电场加速后的速度为v,根据动能定理有qEL=
mv2
解得
(2)粒子在磁场中完成了如图所示的部分圆运动,设其半径为R,因洛仑兹力提供向心力

所以有qvB=
由几何关系得
所以
(3)设粒子在电场中加速的时间为t1,在磁场中偏转的时间为t2
粒子在电场中运动的时间t1=
=
粒子在磁场中做匀速圆周运动,其周期为
由于∠MON=120°,所以∠MO"N=60°
故粒子在磁场中运动时间t2=
所以粒子从A点出发到N点离开磁场经历的时间t=t1+t2=
+

本题解析:
本题难度:困难
3、计算题 如下图,在xOy坐标系的第一象限内有互相正交的匀强电场E与匀强磁场B,E的大小为1.0×103V/m,方向未知,B的大小为1.0T,方向垂直纸面向里;第二象限的某个圆形区域内,有方向垂直纸面向里的匀强磁场B′。一质量m=1×10-14kg、电荷量q=1×10-10C的带正电微粒以某一速度v沿与x轴负方向60°角从A点沿直线进入第一象限运动,经B点即进入处于第二象限内的磁场B′区域,一段时间后,微粒经过x轴上的C点并与x轴负方向成60°角的方向飞出。已知A点的坐标为(10,0),C点的坐标为(-30,0),不计粒子重力,g取10m/s2。
小题1:请分析判断匀强电场E的方向并求出微粒的运动速度v;
小题2:匀强磁场B′的大小为多大?
小题3:B′磁场区域的最小面积为多少?
参考答案:
小题1:电场E的方向与x轴正方向成30°角斜向右上方? 103m/s?
小题2:
T
小题3:3.1×10-2m2
本题解析:(1)由于重力忽略不计,微粒在第一象限内仅受电场力和洛伦兹力,且微粒做直线运动,速度的变化会引起洛仑兹力的变化,所以微粒必做匀速直线运动。这样,电场力和洛仑兹力大小相等,方向相反,电场E的方向与微粒运动的方向垂直,即与x轴正方向成30°角斜向右上方。
由力的平衡条件有Eq=Bqv(1分)

得v=
m/s =103m/s(1分)
(2)微粒从B点进入第二象限的磁场B"中,画出微粒的运动轨迹如右图。
粒子在第二象限内做圆周运动的半径为R,由几何关系可知
R=
cm=
cm。(1分)
微粒做圆周运动的向心力由洛伦兹力提供,即qvB′=m
(1分)
B′=
(1分)代入数据解得B′=
T(1分)
(3)由图可知,B、D点应分别是微粒进入磁场和离开磁场的点,磁场B′的最小区域应该分布在以BD为直径的圆内。由几何关系易得BD=20cm,磁场圆的最小半径r=10cm。(1分)
所以,所求磁场的最小面积为S=πr2=0.01π=3.1×10-2m2(1分)
本题难度:一般
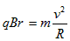
4、选择题 已知质子与氦核的质量之比为1:4,电荷量之比为1:2.当质子和氦核在同一匀强磁场中做半径相同的圆周运动时.设此时质子的动能为E1,氦核的动能为E2,则E1:E2等于( )
A.4:1
B.2:1
C.1:1
D.1:2
参考答案:质子和α粒子在磁场中做匀速圆周运动的半径公式为r=mvBq,得v=qBrm
动能为Ek=12mv2=q2B2r22m;
由题,半径r相同,则得到:Ek1:Ek2=qp22mp:qα22mα
而qp:qα=1:2,mp:mα=4:1,解得,Ek1:Ek2=1:1
故选:C
本题解析:
本题难度:一般
5、选择题 如图所示,有一混合正离子束先后通过正交电磁场区域Ⅰ和匀强磁场区域Ⅱ,如果这束正离子束在区域Ⅰ中不偏转,进入区域Ⅱ后偏转半径R相同,则它们具有相同的( )
A.电荷量
B.质量
C.速度
D.比荷