微信搜索关注"91考试网"公众号,领30元,获取公务员、事业编、教师等考试资料40G!
1、实验题 某同学利用图(a)所示的电路研究灯泡L1(6V,1.5W)、L2(6V,10W)的发光情况(假设灯泡电阻恒定),图(b)为实物图。

(1)他分别将L1、L2接入图(a)中的虚线框位置,移动滑动变阻器的滑片P,当电压表示数为6V时,发现灯泡均能正常发光。在图(b)中用笔线代替导线将电路连线补充完整。
(2)接着他将L1和L2串联后接入图(a)中的虚线框位置,移动滑动变阻器的滑片P,当电压表示数为6V时,发现其中一个灯泡亮而另一个灯泡不亮,出现这种现象的原因是_____________________________。
(3)现有如下器材:电源E(6V,内阻不计),灯泡L1(6V,1.5W)、L2(6V,10W),L3(6V,10W),单刀双掷开关S。在图(c)中设计一个机动车转向灯的控制电路:当单刀双掷开关S与1相接时,信号灯L1亮,右转向灯L2亮而左转向灯L3不亮;当单刀双掷开关S与2相接时,信号灯L1亮,左转向灯L3亮而右转向灯L2不亮。
参考答案:(1)如图b(3分)

(2)由于RL1比RL2大得多,灯泡L2分得的电压很小,其实际功率很小,不能发光。(3分)
(3)如图c(5分)

本题解析:(1)实物连线要依据电路原理图,弄清电路结构,将滑动变阻器连接成分压式接法。
(2)由于两个灯泡的电阻相差较多,串联后接入电路,则电阻较小的灯泡分得的电压远小于额定电压,故不亮,而另一个灯泡的电压接近额定电压,故该灯泡亮。
(3)根据(2)的启发,设计的电路如图c所示。
本题难度:一般
2、实验题 某物理兴趣小组要精确测量一只电流表G(量程为1mA、内阻约为100Ω)的内阻。实验室中可供选择的器材有:
电流表A1:量程为3mA内阻约为200Ω;
电流表A2:量程为0.6A,内阻约为0.1Ω;
定值电阻R1:阻值为10Ω;?
定值电阻R2:阻值为60Ω;
滑动变阻器R3:最大电阻20Ω,额定电流1.5A;
直流电源:电动势1.5V,内阻0.5Ω;
开关,导线若干.
(1)为了精确测量电流表G的内阻,你认为该小组同学应选择的电流表为?、定值电阻为____.(填写器材的符号)
(2)在方框中画出你设计的实验电路图

(3)按照你设计的电路进行实验,测得电流表A的示数为I1,电流表G的示数为I2,则电流表G的内阻的表达式为rg=?。
(4)请列出你所知道的测量电阻的方法:?。(至少写出两种)
参考答案:
?
本题解析:(1)为了精确测量电流表G的内阻,该小组同学应选择的电流表为
,因为
量程太大,测量不准确,定值电阻近似为
,所以定值电阻应选
(2)实验电路图如下

(3)测得电流表A的示数为I1,电流表G的示数为I2,则电流表G的内阻的表达式为rg=
(4)测量电阻的方法:1、伏安法2、半偏法3、替代法
本题难度:一般
3、简答题 某同学测量一只未知阻值的电阻.
(1)他先用多用电表进行测量,按照正确的步骤操作后,测量的结果如图(甲)所示.请你读出其阻值大小为______.为了使多用电表测量的结果更准确,该同学接着测量前应该应该完成下列步骤中的______
A.换“×1”档再机械调零;?B.换“×1”档再欧姆调零;
C.换“×100”档再机械调零;?D.换“×100”档再欧姆调零
(2)若该同学再用“伏安法”测量该电阻,所用器材如图(乙)所示,其中电压表内阻约为5kΩ,电流表内阻约为5Ω,变阻器阻值为50Ω.图中部分连线已经连接好,为了尽可能准确地测量电阻,请你在右方框内画出上但适当的实验电路图及完成图4(乙)其余的连线.(电路图和连线各3分)

参考答案:

(1)由图甲所示欧姆表可知,欧姆表示数为100×10Ω=1000Ω;
由图甲可知,欧姆表指针偏转角度太小,所选挡位太小,为准确测量电阻阻值,
应换大挡,将选择开关打到“×100”挡,然后再进行欧姆调零,故D正确.
(2)待测电阻阻值约为1000Ω,滑动变阻器最大阻值为50Ω,
滑动变阻器最大阻值远小于待测电阻阻值,滑动变阻器应采用分压接法;
RRA=1000Ω5Ω=200,RVR=5000Ω1000Ω=5,RRA>RVR,
电流表应采用内接法,实物电路图如图所示.
故答案为:(1)1000Ω;D;(2)电路图如图所示.
本题解析:
本题难度:一般
4、实验题 如图是“测电源的电动势和内阻”的实验电路,器材如下:
待测电源

量程3V的理想电压表V
量程0.6A的电流表A(具有一定内阻)
定值电阻R0(R0=1.50Ω)
滑动变阻器R1(0 —10Ω)
滑动变阻器R2(0 — 200Ω)
开关S、导线若干
小题1:为方便实验调节且能较准确地进行测量,滑动变阻器应选用?(填R1或 R2)。
小题2:用笔画线代替导线在实物图中完成连线。
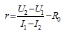
小题3:实验中,改变滑动变阻器的阻值,测出当电流表读数为I1时,电压表读数为U1;当电流表读数为I2时,电压表读数为U2.则待测电源内阻的表达式r =?.(用I1、I2、U1、U2和R0表示)
参考答案:
小题1:R1
小题2:如图所示

小题3:
本题解析:小题1:电路中电阻最大为,
,所以为了调节方便用小阻值的的滑动变阻器R1即可
小题2:实物图中完成连线如下所示

小题3:根据闭合电路欧姆定律有,
,
,联立可求得电源内阻r=
本题难度:一般
5、实验题 用伏安法测一节干电池的电动势E和内电阻r,所给的器材有:
A.电压表:0~3~15V;B.电流表:0~0. 6~3A;C.滑动变阻器R1(总电阻20Ω);D.滑动变阻器R2 (总电阻100Ω);以及电键S和导线若干.
小题1:电压表量程选用________,电流表量程选用________,滑动变阻器选用________.

小题2:在方框中画出实验电路图.

小题3:如图所示的U-I图象是由实验测得的7组数据标出的点,请你完成图线,并由图线求出
E=________V,r=________Ω.
参考答案:
小题1:0-3V? 0-0.6A?R1
小题2:

小题3:? 1.5?V(1分), 0. 5?
本题解析:分析:(1)根据电池的电动势和图中的电流值可选取电流表及电压表;滑动变阻器在本实验中作为限流使用,故应选取若大于内阻的滑动变阻器;
(2)用直线将各点相连,注意让各点尽量分布在直线两侧;由图象与纵坐标的交点可求得电动势;图象的斜率表示电池的内电阻.
解答:解:(1)由图可知,电流小于0.6A,故电流表应选用的量程为0-0.6A;而电池的电动势约为1.5V,故电压表应选用的量程为?0-3V;
为了调节方便并能减小误差,故变阻器应选用R1;
(2)根据数据点位置完成U-I图线,由图可知,电动势为1.5V;
图象的斜率为:r=(1.5-1.0)/1.0=0.50Ω;
故答案为:(1)0~0.6;0~3;R1;
(2)1.5;0.5.

点评:本题考查测电动势和内阻实验的数据处理,注意要结合公式理解图象的斜率及截距的含义.
本题难度:一般