微信搜索关注"91考试网"公众号,领30元,获取公务员、事业编、教师等考试资料40G!
1、计算题 如图所示,一根长
=0.8m轻绳一端固定在O点,另一端栓一质量m=0.1kg的小球静止于A点,其右方有底面半径r=0.2m的转筒,转筒顶端与A等高,下部有一小孔,距顶端h=0.8m。现使细绳处于水平线上方30°的位置B点处而伸直,且与转筒的轴线、OA在同一竖直平面内,开始时小孔也在这一竖直平面内。将小球由B点静止释放,当小球经过A点时轻绳突然断掉,同时触动了光电装置,使转筒立刻以某一角速度匀速转动起来,且小球最终正好进入小孔。不计空气阻力,g取l0m/s2。试求:
(1)小球到达A点时的速率?
(2)转筒轴线距A点的距离L和转筒转动的角速度ω

2、选择题 某质点在恒力F作用下从A点沿图4所示曲线运动到B点,到达B点后,质点受到的力大小不变,但方向恰与F相反,则它从B点开始的运动轨迹可能是图中的哪条曲线 ( ?)

A.曲线a
B.曲线b
C.曲线c
D.以上三条曲线都不可能
3、选择题 8、人在一个半径为R的星球上,以速度v竖直上抛一个物体,经过时间t后物体落回原抛出点。如果人想把这个物体沿星球表面水平抛出,而使它不再落回星球,则抛出速度至少应是(?)
A.
B.
C.
D.
4、选择题 在一场汽车越野赛中,一赛车在水平公路上减速转弯,沿圆周由P向Q行驶。下述4个俯视图中画出了赛车转弯时所受合力的4种可能情况,你认为正确的是? ( )?

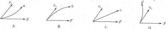
5、选择题 若已知物体运动的初速度v0的方向及它受到的恒定的合外力F的方向,图a、b、c、d表示物体运动的轨迹,其中正确是的(?)