微信搜索关注"91考试网"公众号,领30元,获取公务员、事业编、教师等考试资料40G!
1、选择题 木星是绕太阳运行的行星之一,而木星的周围又有卫星绕其运行,如果要通过观测求得木星的质量,则需要测量的量是
[? ]
A.木星运行的周期和轨道半径
B.卫星运行的周期和轨道半径
C.木星运行的周期和卫星的轨道半径
D.卫星运行的周期和木星的轨道半径
参考答案:B
本题解析:
本题难度:一般
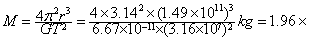
2、计算题 地球绕太阳公转的轨道半径为1. 49×1来源:91exam .org011m,公转的周期是3.16×107 s,太阳的质量是多少?
参考答案:解:根据牛顿第二定律,可知:
F向=ma向=
? ①
又因F向是由万有引力提供的
则F向=F万=
? ②
则由① ②联立可解得


本题解析:
本题难度:一般
3、填空题 某行星表面附近有一颗卫星,其轨道半径可以认为近似等于该行星的球体半径.已测出此卫星运动的周期为80min,已知万有引力常量为6.67 ×10-11N ·m2/kg2,据此求得该行星的平均密度约为___ (取两位有效数字)
参考答案:6.1×103km/m3
本题解析:
本题难度:简单
4、计算题 2007年10月24日,我国“嫦娥一号”探月卫星成功发射。“嫦娥一号”卫星开始绕地球做椭圆轨道运动,经过变轨、制动后,成为一颗绕月球做圆轨道运动的卫星。设卫星距月球表面的高度为h,做匀速圆周运动的周期为T。已知月球半径为R,引力常量为G。求:
(1)月球的质量;
(2)月球表面的重力加速度g。
参考答案:解:(1)设卫星质量为m,由万有引力定律及向心力公式知
解得
?
(2)质量为m"的物体在月球表面所受的重力应等于他所受月球的万有引力,
故有
,解得
将(1)中的M代入得
。
本题解析:
本题难度:一般
5、选择题 科学家们推测,太阳系的第十颗行星就在地球的轨道上.从地球上看,它永远在太阳的背面,人类一直未能发现它,可以说是“隐居”着的地球的“孪生兄弟”.由以上信息我们可以推知
A.这颗行星需要的向心力与地球等大
B.这颗行星的自转半径与地球相同
C.这颗行星的质量等于地球的质量
D.这颗行星的公转半径与地球相同
参考答案:D
本题解析:
本题难度:简单