微信搜索关注"91考试网"公众号,领30元,获取公务员、事业编、教师等考试资料40G!
               
                  
                   
     
      
            1、选择题  从某一高度以相同速度相隔1s先后水平抛出甲、乙两个小球,不计空气阻力,在乙球抛出后两球在空中运动的过程中,下述说法正确的是: 
A.两球水平方向的距离越来越大
B.两球竖直高度差越来越大
C.两球水平方向的速度差越来越大
D.两球每秒内的速度变化量相同,与其质量无关
 
	参考答案:BD
	本题解析:水平方向上做匀速直线运动,所以水平距离不变.A错误;
平抛运动在竖直方向上做自由落体运动,设乙抛出时开始计时,甲在竖直方向上的位移 ,乙在竖直方向上的位移
,乙在竖直方向上的位移 ?两球的高度差
?两球的高度差 随时间增大越来越大.故B正确.
随时间增大越来越大.故B正确.
平抛运动在水平方向上做匀速直线运动,速度差为0.故C错误.
平抛运动是加速度不变的曲线运动,根据 知,每秒钟速度的变化量相同,方向竖直向下,与质量无关.故D正确.
知,每秒钟速度的变化量相同,方向竖直向下,与质量无关.故D正确.
故选BD.
点评:解决本题的关键知道平抛运动在水平方向上做匀速直线运动,在竖直方向上做自由落体运动.以及知道平抛运动是加速度不变的曲线运动,每秒钟速度的变化量相同,方向竖直向下.
	本题难度:一般
	        2、计算题  如图所示,A1D是水平面,AC是倾角为的斜面,小物块从A点由静止释放沿ACD滑动,到达D点时速度刚好为零。将上述过程改作平抛运动,小明作了以下三次尝试,物块最终也能到达D点:第一次从A点以水平初速度v1向右抛出物块,其落点为斜面AC的中点B;第二次从A点以水平初速度v2向右抛出物块,其落点为斜面的底端C;第三次从A点以水平初速度v3向右抛出物块,其落点刚好为水平面上的D点。已知 ,长度
,长度 ,物块与斜面、水平面之间的动摩擦因数均相同,不计物块经C点的机械能损失。
,物块与斜面、水平面之间的动摩擦因数均相同,不计物块经C点的机械能损失。
(1)求物块与斜面间的动摩擦因数 ;
;
(2)求初速度之比 ;
;
(3)试证明物块落到B、C两点前瞬时速度vB、vC大小满足: 。
。 

 
	参考答案:解:(1)物块从 过程中,根据动能定理有?
过程中,根据动能定理有? 


(2) :?
:? ,
,
 :
:

因 ,
, ,所以
,所以 ,
,
因 ,所以
,所以
初速度之比

(3)因为 ,
,

所以 。
。
	本题解析:
	本题难度:一般
	        3、选择题  研究平抛物体的运动,在安装实验装置的过程中,斜槽末端的切线必须是水平的,这样做的目的是(  )
A.保证小球飞出时,速度既不太大,也不太小
B.保证小球飞出时,初速度水平
C.保证小球在空中运动的时间每次都相等
D.保证小球运动的轨道是一条抛物线
 
	参考答案:B
	本题解析:
	本题难度:一般
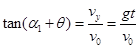
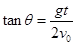
	        4、选择题  如图所示,将一物体从倾角为θ的固定斜面顶端以初速度v0沿水平方向抛出,物体与斜面接触时速度与斜面之间的夹角为α1,若只将物体抛出的初速度变成1/2v0,其他条件不变,物体与斜面接触时速度与斜面之间的夹角为α2,则下列关于α2与α1的关系正确的是(   )

A.α2=α1
B.α2=α1
C.tanα2=tanα1
D.tanα2=2tanα1