微信搜索关注"91考试网"公众号,领30元,获取公务员、事业编、教师等考试资料40G!
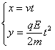
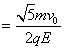
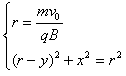
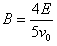
1、计算题 空间中存在水平向右的匀强电场,场强大小为E,一带电量为+q、质量为m的粒子,在P点以向上初速度v0开始运动,该粒子运动到图中Q点时速度方向与P点时的方向偏转了45°,若保持粒子在P点时的速度不变,而将匀强电场换成方向垂直于纸面向外的匀强磁场,在此磁场力的作用下粒子也由P点运动到Q点,不计重力。求:
(1)P、Q间的距离l为多少?
(2)匀强磁场的磁感应强度为多少?

参考答案:解:(1)
解得:
?


(2)
?
本题解析:
本题难度:困难
2、简答题 在“描绘小灯泡的伏安特性曲线”的实验中,小灯泡标有“3.8V、1.14W”字样;
电压表V量程5V,内阻约为5kΩ;直流电源E的电动势4.5V,内阻不计;开关S及导线若干;其它供选用的器材还有:
电流表A1量程250mA,内阻约为2Ω;电流表A2量程500mA,内阻约为1Ω;
滑动变阻器R1阻值0~10Ω;滑动变阻器R2阻值0~2kΩ.
为了使调节方便,测量的准确度高:
①实验中应选用电流表______,滑动变阻器______.
②在虚线框内画出实验电路图.______
③由正确实验操作得到的数据描绘出小灯泡的伏安特性曲线如图(甲)所示,将本实验用的小灯泡接入如图(乙)所示的电路,电源电压恒为6V,定值电阻R3=30Ω.电流表A读数为0.45A,此时小灯泡消耗的实际功率为______W.(不计电流表A的内阻).

参考答案:①由小灯泡标有“3.8V、1.14W”字样可知,灯泡的额定电流为:I=PU=1.143.8A=0.3A;因此电流表选择A2量程500mA的,本实验中为了多测数据,滑动变阻器采用分压接法,故应选用变化范围较小的电阻,故选R1.
故答案为:A2 ,R1.
②本实验中为了多测数据,滑动变阻器采用分压接法,因灯泡内阻较小,故应选用电流表外接,由此可正确画出实验原理图如下所示:

③流过I3的电流为:I3=UR=630A=0.2A,因此流过灯泡的电流为:I1=I-I3=0.45A-0.2A=0.25A
由小灯泡的伏安特性曲线可知,当电流为0.25A时,电压为:2V
故功率P=UI=0.25A×2V=0.5W.
故答案为:
①,A2,R1.
②电路如图所示(电流表外接,滑动变阻器接成分压式).
③0.50W.
本题解析:
本题难度:一般
3、选择题 火箭在下列哪种状态下会发生超重现象
A.匀速上升
B.匀速下降
C.减速上升
D.加速上升
参考答案:D
本题解析:在竖直方向上运动时,当加速度向下时,物体处于失重状态,当加速度向上时,物体处于超重状态,所以AB为正常状态,C中加速度向下,为失重状态,D中加速度向上,为超重状态,选D
本题难度:一般
4、实验题 某探究小组,分别用游标卡尺和螺旋测微器测量同一金属丝的直径。两尺的读数如下图所示。游标卡尺的读数是?mm,螺旋测微器的读数是??mm。由于测量仪器不同,从而造成读数不同,其原因是?。
参考答案:(1)3.2? 3.206(3.203—3.208)精度不同?(每空1分)
本题解析:略
本题难度:简单
5、选择题 在图所示的匀强电场中,水平等距离的虚线表示其等势面,带电量Q=-0.5×10-10C的粒子(不考虑粒子所受重力)在电场力作用下从A点运动到B点,动能增加0.5×10-9J,A点电势为-10V,下列关于粒子的运动轨迹和B点电势的说法中正确的是( )
A.粒子沿轨道1运动,B点电势为零
B.粒子沿轨道2运动,B点电势为20V
C.粒子沿轨道1运动,B点电势为-20V
D.粒子沿轨道2运动,B点电势为-20V