微信搜索关注"91考试网"公众号,领30元,获取公务员、事业编、教师等考试资料40G!
1、选择题 A、B两物体的速度之比为2:1,质量的大小之比为1:3,则它们的动能之比为( )
A.12:1
B.3:4
C.12:5
D.4:3
2、选择题 关于重力的叙述,下列说法中正确的是( )
A.地球上的物体只有静止时才受到重力的作用
B.自由下落的物体速度越来越大,说明它受到的重力越来越大
C.放在支撑面上的物体受到的重力的方向总是垂直向下的
D.物体受到的重力是由于地球的吸引而产生的
3、选择题 如图所示,木块沿竖直墙自由下落,木块受力情况是(?)

A.只受重力
B.受到重力和摩擦力
C.受到重力和弹力
D.受到重力、摩擦力和弹力
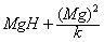
4、选择题 一质量为M的物体放在水平地面上,上面安一根原长为L、劲度系数为k的轻弹簧,现用手拉弹簧上端P点(开始拉时弹簧为原长),如图1所示,当P点位移为H时,物体缓慢地离开地面一段距离h(如图2所示),则物体在此过程中增加的重力势能是


? 图1? 图2
[? ]
A.MgH
B.Mgh
C.
D. 
5、填空题 在用单摆测定重力加速度的实验中,提供以下器材供你选择:
A.1m左右的细线B.1m左右的粗绳C.1m左右的橡皮筋D.直径约为1cm的钢球E.直径约为1cm的木球F.打点计时器G.秒表H.手表
(1)摆线应选择______,摆球应选择______,测量周期应选择______.(填序号)
(2)若用L表示摆长,T表示周期,那么重力加速度g=______,测摆长时应从悬点量到______,测量时间应从摆球经过______位置启动秒表.