微信搜索关注"91考试网"公众号,领30元,获取公务员、事业编、教师等考试资料40G!
1、选择题 物体沿一直线运动,在t时间内通过的位移为x,它在中间置x/2处的速度为v1,在中间时刻t/2的速度为v2,则v1和v2的关系为
[? ]
A.当物体做匀加速直线运动时,v1>v2
B.当物体做匀减速直线运动时,v1>v2
C.当物体做匀速直线运动时,v1=v2
D.当物体做匀减速直线运动时,v1<v2
参考答案:ABC
本题解析:
本题难度:一般
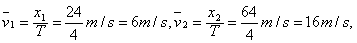
2、计算题 有一个做匀变速直线运动的质点,它在两个连续相等的时间间隔内通过的位移分别为24m和64m,每一个时间间隔为4 s,求质点在这两段位移上的初速度、末速度和加速度大小。
参考答案:解:
设B是这两段位移中间时刻所对应的位置,A是初速度对应的位置,C是末速度对应的位置,则:


又
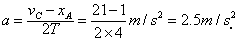
解得:vA=1 m/s,vc=21 m/s
其加速度为:
本题解析:
本题难度:一般
3、选择题 一物体做匀变速直线运动,其位移与时间关系是:s=2t+4t2,可知(? )
A.物体初速度是2 m/s
B.物体的初速度是4 m/s
C.物体的加速度是4 m/s2
D.物体的加速度是8 m/s2
参考答案:AD
本题解析:匀变速直线运动的位移规律为s=v0t+
at2,由对应性可得,v0="2" m/s,a="8" m/s2.
本题难度:简单
4、选择题 某火车从车站由静止开出做匀加速直线运动,最初一分钟内行驶540m,那么它在最初10s行驶的距离是
[? ]
A.90m
B.45m
C.30m
D.15m
参考答案:D
本题解析:
本题难度:一般
5、选择题 甲乙两汽车从同一车站出发,甲先出发,乙后出发,当乙车追上甲车时,两车运动的相同物理量是( )
A.加速度
B.速度
C.位移
D.时间
参考答案:C
本题解析:
本题难度:简单