微信搜索关注"91考试网"公众号,领30元,获取公务员、事业编、教师等考试资料40G!
1、计算题 如图所示,水平传送带AB长L(足够长),以v0的速度向右匀速运动(传送带的传送速度恒定),质量为m的小木块无初速度放在传送带的最左端A点,小木块经过t1后与传送带速度大小相等。求:
(1)小木块与传送带间的动摩擦因数μ是多大?
(2)小木块在传送带上从A点运动到B点的时间T是多少?

参考答案:解:(1)
,
?
根据牛顿第二定律得
,?
又因为
所以
?
(2)小木块在传送带上先作匀加速直线运动,后作匀速直线运动
?
x2=L-x1?

?T=t1+t2=
。
本题解析:
本题难度:一般
2、选择题 一个物体同时受到几个力作用处于静止状态,若保持其它力不变,将其中一个力先逐渐减小到零,然后又逐渐恢复到原状,则在这一过程中( ? )
A.物体的加速度增大,速度增大
B.物体的加速度减小,速度增大
C.物体的加速度先增大后减小,速度一直增大
D.物体的加速度和速度都是先增大后减小
参考答案:C
本题解析:
本题难度:一般
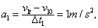
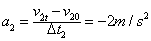
3、计算题 质量为2 kg的物体在水平推力F 的作用下沿水平面做直线运动,一段时间后撤去F,其运动的v-t图象如图所示.g取10m/s2,求:
(1)物体与水平间的动摩擦因数μ;
(2)水平推力F的大小;
(3)0 ~10 s内物体运动位移的大小.

参考答案:解:(1)设物体做匀减速直线运动的时间为△t2、初速度为v20、末速度为v2t、加速度为a2,则
,①
设物体所受的摩擦力为Ff,根据牛顿第二定律,有
Ff= ma2,②
Ff=-μmg, ③
联立②③得
④
(2)设物体做匀加速直线运动的时间为△t1、初速度为v10、末速度为v1t、加速度为a1,则
⑤
根据牛顿第二定律,有F+ Ff=ma1, ⑥
联立③⑥得F=μmg+ma1=6 N.
(3)由匀变速直线运动位移公式,得
。
本题解析:
本题难度:一般
4、计算题 如图所示,水平面上放有质量均为m=1 kg的物块A和B,A、B与地面的动摩擦因数分别为μ1=0.4和μ2=0.1,相距l=0.75 m。现给物块A一初速度使之向B运动,与此同时给物块B一个F=3 N水平向右的力由静止开始运动,经过一段时间A恰好追上B。g=10 m/s2。求:
(1)物块B运动的加速度大小;
(2)物块A初速度大小;
(3)从开始到物块A追上物块B的过程中,力F对物块B所做的功。

参考答案:(1)2 m/s2
(2)3 m/s
(3)0.75 J
本题解析:
本题难度:困难
5、选择题 如图所示,物体A在竖直向上的力F作用下处于静止状态,则A受力个数可能为

[? ]
A.2
B.3
C.4
D.5
参考答案:AC
本题解析:
本题难度:一般