微信搜索关注"91考试网"公众号,领30元,获取公务员、事业编、教师等考试资料40G!
               
                  
                   
     
      
            1、选择题  在如图所示的匀强电场和匀强磁场共存的区域内,电子(不计重力)可能沿水平方向向右作直线运动的是(  )
A.

B.

C.

D.

?
 
	参考答案:A、若电子向右运动,则受到电场力向左,洛伦兹力向下,合力跟初速度方向不在同一直线上,故A错误;
B、若电子向右运动,则受到电场力向左,不受洛伦兹力,合力跟初速度方向在同一直线上,故B正确;
C、若电子向右运动,则受到电场力向上,洛伦兹力向下,当电场力等于洛伦兹力时,电子向右匀速运动,故C正确;
D、若电子向右运动,则受到电场力向上,洛伦兹力向上,合力跟初速度方向不在同一直线上,故D错误;
故选BC.
	本题解析:
	本题难度:一般
	        2、计算题  如图所示,在xoy平面内,直线MN与x轴正方向成30°角,MN下方是垂直于纸面向外的匀强磁场,MN与y轴正方向间存在电场强度E= ×105N/C的匀强电场,其方向与y轴正方向成60°角且指向左上方,一重力不计的带正电粒子,从坐标原点O沿x轴正方向进入磁场,已知粒子的比荷
×105N/C的匀强电场,其方向与y轴正方向成60°角且指向左上方,一重力不计的带正电粒子,从坐标原点O沿x轴正方向进入磁场,已知粒子的比荷 =107C/kg,结果均保留两位有效数字,试问:
=107C/kg,结果均保留两位有效数字,试问:
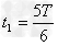
(1)若测得该粒子经过磁场的时间t1= ,求磁感应强度的大小B;
,求磁感应强度的大小B;
(2)粒子从坐标原点开始到第一次到达y轴正半轴的时间t;
(3)若粒子的速度v0=1.0×106m/s,求粒子进入电场后最终离开电场时的位置坐标?

 
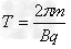
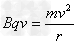
	参考答案:解:(1)由几何关系可知: ①
①
又 ②
②
联立①②式解得B=0.5T?③
(2)设粒子在磁场中运动的半径为r,速度为v,由几何关系可知 ,POQ为等腰三角形,所以PO=OQ=r,PQ=
,POQ为等腰三角形,所以PO=OQ=r,PQ= ,故
,故
 ④
④
 ⑤
⑤
由②③④⑤式联立得 ?⑥
?⑥

(3)粒子进入电场后做类平抛,设垂直于电场方向的距离为m,电场方向的距离为n,粒子离开电场时经过y轴,其位置坐标为A(0,d),所以
 ?⑦
?⑦
 ?⑧
?⑧
 ?⑨
?⑨
 ?⑩
?⑩
又



联立⑦⑧⑨⑩
 式得d=2.0m
式得d=2.0m
	本题解析:
	本题难度:困难
	        3、计算题  如图,在 平面第一象限整个区域分布匀强电场,电场方向平行
平面第一象限整个区域分布匀强电场,电场方向平行 轴向下,在第四象限内存在有界匀强磁场,左边界为
轴向下,在第四象限内存在有界匀强磁场,左边界为 轴,右边界为
轴,右边界为 的直线,磁场方向垂直纸面向外。质量为
的直线,磁场方向垂直纸面向外。质量为 、带电量为
、带电量为 的粒子从
的粒子从 轴上
轴上 点以初速度
点以初速度 垂直
垂直 轴射入匀强电场,在电场力作用下从
轴射入匀强电场,在电场力作用下从 轴上
轴上 点以与
点以与 轴正方向成45°角进入匀强磁场。已知
轴正方向成45°角进入匀强磁场。已知 ,不计粒子重力。求:
,不计粒子重力。求:

(1) 点坐标;
点坐标;
(2)要使粒子能再进入电场,磁感应强度 的取值范围;
的取值范围;
(3)要使粒子能第二次进入磁场,磁感应强度 的取值范围。
的取值范围。
 
	参考答案:(1)(0, )(2)
)(2) (3)
(3)
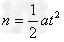
	本题解析:(1)设粒子进入电场时y方向的速度为vy ?,则 ?
?
设粒子在电场中运动时间为t,则
 ?
?
 ?
?
由以上各式,解得
 点坐标为(0,
点坐标为(0, )?
)?
(2)粒子刚好能再进入电场的轨迹如图所示,设此时的轨迹半径为r1,则

 ?
?
解得: ?
?
令粒子在磁场中的速度为 ?,则
?,则 ?
?
根据牛顿第二定律
解得: ?
?
要使粒子能再进入电场,磁感应强度B的范围? ?
?
(3)要使粒子刚好从 处第二次进入磁场的轨迹如图,
处第二次进入磁场的轨迹如图,

粒子从P到Q的时间为t,则粒子从C到D的时间为2t,所以? ?
?
 ?
?
设此时粒子在磁场中的轨道半径为r2,
由几何关系? ?
?
解得 ?
?
根据牛顿第二定律  ?
?
解得 ?
?
要使粒子能第二次进磁场,粒子必须先进入电场,故磁感应强度B要满足 ?
?
综上所述要使粒子能第二次进磁场,磁感应强度B要满足

	本题难度:一般
	        4、简答题  图中,MN和PQ为相距40cm的平行金属导轨,电阻等于0.3 的金属棒ab可紧贴平行导轨运动.相距为20cm的水平放置的两平行金属板A和C分别与两平行导轨相连.图中电阻R=0.1
的金属棒ab可紧贴平行导轨运动.相距为20cm的水平放置的两平行金属板A和C分别与两平行导轨相连.图中电阻R=0.1 ,导轨和连线的电阻不计,整个装置处于如图所示的匀强磁场中.当ab以速率v向右匀速运动时,恰能使一带电微粒也以速率v在金属板间作匀速圆周运动,求ab匀速运动的速率v的取值范围(g取10m/
,导轨和连线的电阻不计,整个装置处于如图所示的匀强磁场中.当ab以速率v向右匀速运动时,恰能使一带电微粒也以速率v在金属板间作匀速圆周运动,求ab匀速运动的速率v的取值范围(g取10m/ )
)

 
	参考答案:
	本题解析:

	本题难度:一般
	        5、计算题  水平放置的平行金属板M、N之间存在竖直向上的匀强电场和垂直纸面的交变磁场(如图a所示,垂直纸面向里为正),磁感应强度B0=100T.已知两板间距离d=0.3m,电场强度E=50V/m, M板上有一小孔P,在P正上方h=5cm处的O点,一带电油滴自由下落,穿过小孔后进入两板间,最后落在N板上的Q点如图b所示.如果油滴的质量m= ,带电量|q|
,带电量|q| .求
.求
(1)在P点的速度V为多少?
(2)若油滴在t=0时刻进入两板间,最后恰好垂直向下落在N板上的Q点.试求油滴的电性及交变磁场的变化周期T.(3)Q、O两点的水平距离.(不计空气阻力,重力加速度g取10m/s2)
 ?
?
 
	参考答案:油滴自由下落,进入两板间电、磁场时的初速为
 ……①
……①
 (2分)
(2分)
(2)由受力分析可知油滴带正电(2分)
油滴进入电、磁场后,受力情况如图所示, 
重力  ……②
……②
电场力  ?……③(2分)带电油滴进
?……③(2分)带电油滴进 入两极板间,受电场力与重力平衡,在磁场力的作用下,它做匀速圆周运动。设圆周半径为R,若恰
入两极板间,受电场力与重力平衡,在磁场力的作用下,它做匀速圆周运动。设圆周半径为R,若恰 好垂直落在N板上的Q点,则
好垂直落在N板上的Q点,则
 ?……④?
?……④? ……⑤解得?
……⑤解得? ?(2分)
?(2分)

又已知d=0.3m,如图所示,由几何关系得d="6R" 
∴交变磁场周期  (2分)
(2分)
(3)设O、Q两点的水平距离为x,如图所示,由几何关系得x="6R=0.3m" (2分)

	本题解析:略
	本题难度:一般