微信搜索关注"91考试网"公众号,领30元,获取公务员、事业编、教师等考试资料40G!
1、计算题 如图甲所示,两平行金属板接有如图乙所示随时间t变化的电压U,两板间电场可看作均匀的,且两板外无电场,板长L=0.2m,板间距离d=0.2m。在金属板右侧有一边界为MN的区域足够大的匀强磁场,MN与两板中线OO′垂直,磁感应强度
T,方向垂直纸面向里。现有带正电的粒子流沿两板中线OO′连续射入电场中,已知每个粒子速度
m/s,比荷q/m=108C/kg,重力忽略不计,在每个粒子通过电场区域的极短时间内,电场可视作是恒定不变的。
(1)试求带电粒子射出电场时的最大速度;
(2)证明任间时刻从电场射出的带电粒子,进入磁场时在MN上的入射点和在MN上出射点的距离为定值,写出该距离的表达式;
(3)从电场射出的带电粒子,进入磁场运动一段时间后又射出磁场,求粒子在磁场中运动最长时间和最短时间。

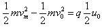
参考答案:解:(1)偏转电压由0到220V的变化中,粒子流可能都能射出电场,也可能只有部分粒子能射出电场
设偏转电压力为u0时,粒子刚好能经过极板右边缘射出
,得
说明偏转电压力为100V时,粒子恰好能射出电场,且速度最大
据动能定理得:
?
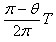
(2)设粒子射出电场速度方向与MN间夹角为θ,粒子射出电场时速度大小为
,
因此粒子射进磁场点与射出磁场点间距离为
由此可看出,距离s与粒子在磁场中运行速度大小无关,s为定值
(3)由(1)中结论可知,若粒子射出磁场的竖直分速度越大则θ越小,故θ最小值为
,此情景下圆弧对应圆心角为270°,入粒子在磁场中运行最长时间为

同理:粒子由右上方射入磁场时且速度方向与MN间夹角为45°时,在磁场中运行时间最短

本题解析:
本题难度:困难
2、计算题 一质量为m、带电量为+q的粒子以速度v0从O点沿y轴正方向射入一圆形匀强磁场区域,磁场方向垂直纸面向外,粒子飞出磁场区域后,从b处穿过x 轴,速度方向与x轴正方向的夹角为30°,同时进入场强大小为大小为E,方向沿x轴负方向成60°角斜向下的匀强电场中,通过了b点正下方c点,如图所示。已知b到O的距离为L,粒子的重力不计,试求:
(1)磁感应强度B;
(2)圆形匀强磁场区域的最小面积;
(3)c点到b点的距离。

参考答案:解:(1)粒子在磁场中受洛伦兹力作用,做匀速圆周运动,设其半径为R,据此并由题意知,粒子在磁场中的轨迹的圆心O"必在x轴上,且b点在磁场区之外,过b沿速度方向作延长线,它与y轴相交于d点,作圆弧过O点与y轴相切,并且与bd相切,切点e即粒子离开磁场区的地点。这样可求得圆弧轨迹的圆心O",如图所示:
由图中几何关系得:L=3R? ①
洛伦兹力提供向心力
由①②求得
(2)要使磁场的区域有最小面积,则Oe应为磁场区域的直径,由几何关系知:
由①④得
∴匀强磁场的最小面积为
(3)带电粒子进入电场后,由于速度方向与电场力方向垂直,故做类平抛运动,由运动的合成知识有:
s·sin30°=V0t
s·cos30°=at2/2
而a=qE/m
联立解得
本题解析:
本题难度:困难
3、简答题 一个质量为m,带电量为+q的粒子,以速度
沿水平方向从如图所示的小孔M进入垂直于纸面的匀强磁场区域Ⅰ,并从小孔N沿竖直向上的方向进入到有水平方向匀强电场区域Ⅱ,最后打在P点,且OM=OP=d,重力不计.

(1)求区域Ⅰ中磁感强度的大小,粒子从M运动到N所用时间.并在图上标出磁场的方向.
(2)求区域Ⅱ中电场强度的大小,粒子从小孔N运动到P所用时间,并在图上标出电场方向.
(3)求粒子到达P点的速度大小.
参考答案:(1)?
?(2)
?(3)
本题解析:

本题难度:一般
4、选择题 如图所示,空间存在水平向左的匀强电场和垂直纸面向里的匀强磁场,电场和磁场相互垂直。在电磁场区域中,有一个竖直放置的光滑绝缘圆环,环上套有一个带正电的小球。O点为圆环的圆心,a、b、c、d、e为圆环上的五个点,a点为最高点,c点为最低点,bOd沿水平方向,e为ad弧的中点。已知小球所受电场力与重力大小相等。现将小球从环的顶端a点由静止释放,下列判断正确的是

[? ]
A.小球能运动到c点,且此时所受洛伦兹力最大
B.小球能运动到e点,且此时所受洛伦兹力最小
C.小球从a点到b点,重力势能减小,电势能增大
D.小球从b点运动到c点,电势能增大,动能先增大后减小
参考答案:D
本题解析:
本题难度:一般
5、计算题 在平面直角坐标系xOy中,第Ⅰ象限存在沿y轴负方向的匀强电场,第Ⅳ象限存在垂直于坐标平面向外的匀强磁场,磁感应强度为B。一质量为m、电荷量为q的带正电的粒子从y轴正半轴上的M点以速度v0垂直于y轴射入电场,经x轴上的N点与x轴正方向成θ=60°角射入磁场,最后从y轴负半轴上的P点垂直于y轴射出磁场,如图所示。不计粒子重力,求
(1)M、N两点间的电势差UMN;
(2)粒子在磁场中运动的轨道半径r;
(3)粒子从M点运动到P点的总时间t。

参考答案:
解:(1)设粒子过N点时速度v,有
=cosθ ①
v=2v0 ②
粒子从M点运动到N点的过程,有
qUMN=
mv2-
mv
?③
UMN=
?④

(2)粒子在磁场中以O"为圆做匀速圆周运动,半径为O"N,有
qvB=
⑤
r=
⑥
(3)由几何关系得ON=rsinθ ⑦
粒子在电场中运动的时间t1,有
ON=v0t1 ⑧
t1=
?⑨
粒子在磁场中做匀速圆周运动的周期T=
?⑩
设粒子在磁场中运动的时间t2,有
t2=
t2=
t=t1+t2
t=
本题解析:
本题难度:困难