微信搜索关注"91考试网"公众号,领30元,获取公务员、事业编、教师等考试资料40G!
               
                  
                   
     
      
            1、推断题  (12分)【化学——有机化学基础】
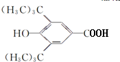
饱受争议的PX项目是以苯的同系物F为原料的化工项目。F中苯环上的取代基是对位关系。用质谱法测得F的相对分子质量为106,A的相对分子质量为92,A与F属于同系物。下图是以A、F为原料制得J的合成路线图。

(1)写出F的结构简式:______________。
(2)C所含官能团的名称是____________。
(3)C→D的反应类型属于_____________;F→G的反应类型属于____________。
(4)写出满足以下三个条件的I的同分异构体的结构简式:______________。
i属于芳香族化合物? ii不与金属钠发生化学反应iii核磁共振氢谱有4组峰,且峰面积比为3:3:2:2。
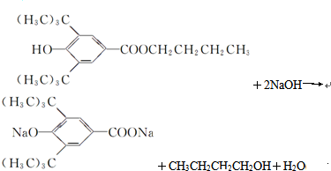
(5)写出E和I反应最终生成J的化学方程式:____________________________________。
 
	参考答案:(12分)
(1)CH3— —CH3(2分)
—CH3(2分)
(2)(醇)羟基(2分)
(3)氧化反应(2分);取代反应(2分)
(4)CH3— —OH3(2分
—OH3(2分
(5) (2分)
(2分)
	本题解析:F为苯的同系物,相对分子质量为106,根据苯的同系物的通式可得n=8,因为F中苯环上的取代基是对位关系,所以F为CH3— —CH3;A与F属于同系物,A的相对分子质量为92,则A为:
—CH3;A与F属于同系物,A的相对分子质量为92,则A为: —CH3;A液溴在光照条件下发生—CH3上的取代反应,生成的B为
—CH3;A液溴在光照条件下发生—CH3上的取代反应,生成的B为 —CH2Br,B与NaOH溶液发生水解反应生成的C为:
—CH2Br,B与NaOH溶液发生水解反应生成的C为: —CH2OH,C在Cu催化下与O2反应生成的D为:
—CH2OH,C在Cu催化下与O2反应生成的D为: —CHO,D继续氧化得到的E为
—CHO,D继续氧化得到的E为 —COOH,F与液溴在Fe催化下发生苯环上的取代反应,生成的G为:
—COOH,F与液溴在Fe催化下发生苯环上的取代反应,生成的G为: ,根据题目所给信息G在10%NaOH|Cu粉等条件下生成的H为
,根据题目所给信息G在10%NaOH|Cu粉等条件下生成的H为 ,H在H+、H2O条件下转化为I:
,H在H+、H2O条件下转化为I: ,E、I通过酯化反应可得J。
,E、I通过酯化反应可得J。
(1)根据上述推断可知F的结构简式:CH3— —CH3
—CH3
(2)C的结构简式为: —CH2OH,含有的官能团为:(醇)羟基。
—CH2OH,含有的官能团为:(醇)羟基。
(3)C→D羟基被氧化为醛基,所以反应类型属于氧化反应;F→G发生苯环上的取代,所以反应类型属于取代反应。
(4)i属于芳香族化合物,含有苯环;ii不与金属钠发生化学反应,不能羟基和羧基;iii核磁共振氢谱有4组峰,且峰面积比为3:3:2:2,所以该同分异构体为CH3— —OH3
—OH3
(5)E、I通过酯化反应制取J,所以化学方程式为: 。
。
	本题难度:一般
	        2、填空题  重要的化工原料F(C5H8O4)有特殊的香味,可通过以下流程合成:

已知:①X是石油裂解气主要成分之一,与乙烯互为同系物;
② ;
;
③C、E、F均能与NaHCO3反应生成气体。
(1)X加聚产物的结构简式是?;
(2)D中所含官能团的名称是?;
(3)反应②的化学方程式为?,反应类型是?;
反应⑥的化学方程式为?;
(4)F的同分异构体很多,其中一种同分异构体只含有一种官能团,在酸性或碱性条件下都能水解生成两种有机物,该同分异构体的结构简式是?。
 
	参考答案:(1) (3分)
(3分)
(2)氯原子、羧基(2分)
(3)2CH3CH2CH2OH +O2 ?2CH3CH2CHO+2H2O(3分)氧化反应(1分)
?2CH3CH2CHO+2H2O(3分)氧化反应(1分)
 CH3CH2COOH+ HOCH2COOH  CH3CH2COOCH2COOH +H2O (3分)
CH3CH2COOCH2COOH +H2O (3分)
(4)CH3OOCCH2COOCH3或HCOOCH2CH2CH2OOCH或CH3COOCH2OOCCH3(3分)
(只要写出其中一个即可)
	本题解析:略
	本题难度:一般
	        3、简答题  [化学-有机化学基础]
合成P(一种抗氧化剂)的路线如下:

已知:①

?(R为烷基);
②A和F互为同分异构体,A分子中有三个甲基,F分子中只有一个甲基.
(1)A→B的反应类型为______.B经催化加氢生成G(C4H10),G的化学名称是______.
(2)A与浓HBr溶液一起共热生成H,H的结构简式为______.
(3)实验室中检验C可选择下列试剂中的______.
a.盐酸?b.FeCl3溶液
c.NaHCO3溶液?d.浓溴水
(4)P与足量NaOH溶液反应的化学反应方程式为______(有机物用结构简式表示).
 
	参考答案:A在加热浓硫酸作用下反应生成B,A和B的化学式相差一个H2O,则发生了消去反应,所以A是醇,B是烯烃,B和苯酚反应生成

,所以B是

,A分子中有三个甲基,所以A的结构简式为:

,

反应生成

,

和银氨溶液反应生成D,D的结构简式为:

,酸性条件下,D反应生成E

,A和F互为同分异构体,A分子中有三个甲基,F分子中只有一个甲基,F的结构简式为:CH3CH2CH2CH2OH,E和F发生酯化反应生成P
P的结构简式为:

.
(1)在加热、浓硫酸作用下,醇A发生消去反应生成烯烃B,B经催化加氢生成G(C4H10),G的结构简式为:
CH3CH(CH3)CH3,G的化学名称是2-甲基丙烷,故答案为:消去反应;2-甲基丙烷;
(2)A与浓HBr溶液一起共热发生取代反应生成H,所以H的结构简式为

,
故答案为:

;
(3)C是苯酚,溴水能和苯酚生成白色沉淀,氯化铁溶液能和苯酚发生显色反应,盐酸和碳酸氢钠与苯酚不反应,故选bd;
(4)P是酯,酯P和氢氧化钠溶液反应方程式为:

,
故答案为:

.
	本题解析:
	本题难度:一般
	        4、填空题  设计合成农药1,3,4-噻二唑类衍生物时,发现其具有荧光特性,其中某蓝色荧光材料B的合成路线如下。

已知:
(1)写出CH3NCS的结构式__________________。
(2)①、③的反应类型为__________________。
(3)反应②另一产物为甲醇,其化学方程式为___________________________。
(4)写出物质B的结构简式__________________。
(5)与 具有相同的含氮六元杂环和官能团的同分异构体共有_________ 种(包含本身。已知含氮六元杂环与苯环结构相似)。
具有相同的含氮六元杂环和官能团的同分异构体共有_________ 种(包含本身。已知含氮六元杂环与苯环结构相似)。
(6)利用题给相关信息,以 和
和 为原料,合成
为原料,合成 ,合成过程中无机试剂任选;合成路线流程图示例如下:
,合成过程中无机试剂任选;合成路线流程图示例如下: 

______________________________________
 
	参考答案:(1)
(2)取代反应、加成反应
(3)
(4)
(5)10
(6)
	本题解析:
	本题难度:困难
	        5、填空题  (16分)下面是以化合物I为原料合成一种香精(化合物Ⅵ)的合成路线,反应在一定条件下进行。化合物Ⅵ广泛用于香精的调香剂。

回答下列问题:
(1)化合物Ⅰ生成化合物Ⅱ的反应原子利用率可达100%,化合物Ⅰ的结构简式为?。
(2)化合物Ⅲ生成化合物Ⅳ发生?反应。
(3)化合物Ⅴ的多种同分异构体中,与化合物Ⅴ官能团种类相同且无支链的共有_____种。
(4)化合物Ⅵ不能发生的反应类型是?(填字母)。
A.加成反应
B.酯化反应
C.水解反应
D.加聚反应