微信搜索关注"91考试网"公众号,领30元,获取公务员、事业编、教师等考试资料40G!
1、选择题 在一定温度下,向a L密闭容器中加入1 mol X气体和2 mol Y气体,发生如下反应:X(g)+3Y(g)
2Z(g),此反应达到平衡的标志是
A.容器内密度不随时间变化
B.容器内各物质的浓度不随时间变化
C.容器内X、Y、Z的浓度之比为1∶2∶2
D.单位时间消耗0.1 mol X同时生成0.2 mol Z
参考答案:B
本题解析:判断一个反应是否达到平衡状态的实质是正逆反应速率相等,标志是所给条件是否从“变”达到“不变”。A中密度ρ=m/V,m不变,容器为aL密闭容器,故密度至始至终没有变化。C中各物质的浓度之比无法判断反应是否达到平衡状态;D都是表示正反应,反应达到平衡状态需要正逆反应速率相等,故D错误。
点评:判断一个反应是否达到平衡状态,是历年高考的重点。考生在备考过程中应抓住实质、通过标志进行分析。难度中等,一般以选择题出现。
本题难度:简单
2、选择题 可逆反应:2A(气) + 3B(气)
3C(气),一定条件下,在一密闭、恒容的容器中,使一定量A和B气体反应,下列叙述能用来判断达到平衡状态的是:?
A.各物质的浓度之比为c(A):c(B):c(C) = 2:3:3?
B.气体的总体积是反应开始时的 3/5?
C.混合气体的密度不变
D.单位时间内, 若消耗了 a mol A 物质, 同时也消耗了 1.5 a mol 的C物质
参考答案:D
本题解析:在一定条件下,当可逆反应的正反应速率和逆反应速率相等时(但不为0),反应体系中各种物质的浓度或含量不再发生变化的状态,称为化学平衡状态。平衡时各种物质的浓度不再发生变化,但各种的浓度之间不一定满足某种关系,A、B不能说明。密度是混合气的质量和容器容积的比值,在反应过程中质量和容积始终是不变的,⑤不正确,因此C不能说明;D中反应速率的方向相反,且满足速率之比是相应的化学计量数之比,可以说明,答案选D。
点评:该题是中等难度的试题,也是高考中的常见题型和考点。试题基础性强,难易适中,侧重对学生能力的培养和解题方法的指导与训练,有助于培养学生的逻辑推理能力和发散思维能力。该题的关键是明确平衡状态的特点,然后结合具体的可逆反应灵活运用即可。
本题难度:简单
3、选择题 在一定条件下,将2molX和3molY充入一密闭容器中,发生如下可逆反应:nX(g)+3Y(g)
2Z(g) 达到平衡时,X的转化率为a%,Y的转化率为b%,若a<b,则n的值为
[? ]
A.1
B.2
C.3
D.4
参考答案:A
本题解析:
本题难度:一般
4、计算题 在某温度下,将H2(g)和I2(g)各0.1mol的气体混合物充入10L的密闭容器中,充分反应,达到平衡时,测得c(H2)=0.0080mol/L,
求:
(1)求该反应的平衡常数。(4分)
(2)在上述温度下,该容器中若充入的H2(g)和I2(g)各0.2mol,求达到化学平衡时HI(g)的平衡浓度。(4分)
参考答案:(1)依题意可知,平衡时[H2]=[I2]=0.0080mol/L,
H2(g) + I2(g)
2HI(g)
起始时各物质的浓度(mol·L-1) 0.010 0.010 0
各物质的浓度变化量(mol·L-1) 0.0020 0.0020 0.0040
平衡时各物质的浓度(mol·L-1) 0.0080 0.0080 0.0040
根据平衡常数的概念可得
K= C(HI)2/C(H2)C(I2)="(0.0040" mol·L-1)2/(0.0080 mol·L-1)2="0.25?" ( 4分)
(2)此温度下,起始量分别是c(H2)=0.02mol/L、c(I2)=0.02mol/L
H2(g) + I2(g)
2HI(g)
起始时各物质的浓度(mol·L-1) 0.02 0.02 0
各物质的浓度变化量(mol·L-1) x x 2x
平衡时各物质的浓度(mol·L-1) 0.02-x 0.02-x ? 2x
K=C(HI)2/C(H2)C(I2)=(2x)2/[(0.02-x)×(0.02-x)]="0.25"
解得:x="0.004" mol/L ;
故平衡时? C(HI)=0.008mol·L-1。?(4分)
本题解析:略
本题难度:简单
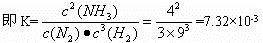
5、计算题 合成氨反应N2(g)+3H2(g)
2NH3(g)在某温度下达平衡时,各物质的浓度是c(N2)="3" mol ·L-1,c(H2)="9" mol ·L-1,c(NH3)="4" mol ·L-1,求该温度时的平衡常数和N2、H2的起始浓度。
参考答案:该温度下K=7.32×10-3起始时c(N2)=5mol·L-1,c(H2)=15mol·L-1
本题解析:由题意知:由平衡时各物质的浓度可求出该温度时的平衡常数,再根据合成氨反应方程式和反应起始浓度可求出N2、H2的起始浓度。
N2(g)+3H2(g)
2NH3(g)
c起始/(mol·L-1)? x? y?0
c转化/(mol·L-1)? a? 3a?2a
c平衡/(mol·L-1)? 3? 9?4

由题意得
解得a=2,x=5,y=15。
本题难度:简单