1、选择题 氧化还原反应的本质是( )
A.得氧和失氧
B.化合价的升降
C.有无新物质生成
D.电子的转移
参考答案:氧化还原反应的本质为电子的转移,其特征是元素化合价的变化,故选D.
本题解析:
本题难度:一般
2、选择题 成语是中华民族灿烂文化中的瑰宝,许多成语中蕴含着丰富的化学原理,下列成语中涉及氧化还原反应的是( )
A.木已成舟
B.铁杵成针
C.蜡炬成灰
D.滴水成冰
参考答案:C
本题解析:
本题难度:简单
3、简答题 现有下列十种物质:
①H2?②铝?③CaO?④CO2?⑤H2SO4? ⑥Ba(OH)2 ⑦红褐色的氢氧化铁液体? ⑧氨水?⑨稀硝酸?⑩Al2(SO4)3
(1)上述物质中属于电解质有:______(用物质序号填空),可以利用⑦具有______现象这一简单物理方法区分⑦、⑧二种分散系.
(2)上述十种物质中有两种物质之间可发生离子反应:H++OH-═H2O,该离子反应对应的化学方程式为______.少量的④通入⑥的溶液中反应的离子方程式为______.
(3)17.1g⑩溶于水配成250mL溶液,SO42-的粒子数为______,SO42-的物质的量浓度为______.
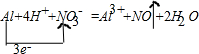
(4)②与⑨发生反应的化学方程式为:Al+4HNO3=Al(NO3)3+NO↑+2H2O,写出该反应的离子方程式并标出电子转移方向和数目:______.当有4.48升(标况)NO气体产生时,转移电子的物质的量为______,被还原HNO3?的质量为______克.
参考答案:(1)在水溶液里或熔融状态下能导电的化合物是电解质,③CaO、⑤H2SO4、⑥Ba(OH)2、⑩Al2(SO4)3是电解质;⑧氨水、⑨稀硝酸、⑦红褐色的氢氧化铁液体是混合物,不是电解质也不是非电解质;④CO2?是非电解质;
①H2、②铝既不是电解质也不是非电解质.⑦红褐色的氢氧化铁液体是胶体能产生丁达尔效应.
故答案为:③⑤⑥⑩;丁达尔.
(2)H++OH-═H2O表示强酸和强碱的酸碱中和反应,且酸碱反应中只有水生成,强酸是硝酸,强碱是氢氧化钡,反应方程式为Ba(OH)2+2HNO3=Ba(NO3)2+2H2O;少量二氧化碳和氢氧化钡反应生成碳酸钡和水,离子方程式为
Ba2++2OH-+CO2=BaCO3↓+H2O.
故答案为:Ba(OH)2+2HNO3=Ba(NO3)2+2H2O;Ba2++2OH-+CO2=BaCO3↓+H2O.
(3)17.1gAl2(SO4)3的物质的量是17.1g342g/mol=0.05mol,所以硫酸根离子的个数=0.05mol×3NA=0.15NA;
C=0.05mol×30.25L=0.6mol/L.
故答案为:0.15NA;0.6mol/L.
(4)强电解质写化学式,气体、弱电解质、金属单质写化学式,

;
设转移电子的物质的量是x,被还原的硝酸根的物质的量是y.
Al+4H++NO3-=Al3++NO↑+2H2O转移电子
?1mol?22.4L? 3mol
? y? 4.48L? x
所以x=0.6mol
y=0.2mol,被还原的硝酸根的物质的量等于被还原的硝酸的物质的量为0.2mol,所以被还原的硝酸的质量=0.2mol×63g/mol=12.6g,
故答案为:

;0.6mol;12.6g.
本题解析:
本题难度:一般
4、选择题 已知NO2气体既有氧化性又有还原性,能与下列物质发生氧化还原反应的是( )
A.CO2
B.N2
C.H2O
D.O2
参考答案:二氧化氮虽然既有氧化性又有还原性,但不和二氧化碳、氮气、氧气反应,能和水反应,反应方程式为:3NO2+H2O═2HNO3+NO,该反应中二氧化氮既体现氧化性又体现还原性,故选C.
本题解析:
本题难度:简单
5、选择题 氢阴离子(H-)能和NH3反应:H-+NH3═NH2-+H2↑,根据上述反应事实可以得出的正确结论是( )
A.NH3有还原性
B.H-是很强的还原剂
C.该反应的还原产物是H2
D.该反应属于置换反应
参考答案:A.氨气中H元素的化合价降低,则NH3有氧化性,故A错误;
B.反应中H-的H元素化合价升高,则H-是很强的还原剂,故B正确;
C.该反应中只有H元素的化合价变化,氢气既是氧化产物又是还原产物,故C错误;
D.反应物中没有单质,不属于置换反应,故D错误;
故选B.
本题解析:
本题难度:一般