1、选择题 甲烷与两种气态烃所组成的混合物,其平均相对分子质量为25.33。取该气体混合物1L,完全燃烧需相同条件下的O2 3L。则两种气态烃可能为
[? ]
A.C2H4与C2H6
B.C2H6与C3H8
C.C3H4与C3H6
D.C3H6与C4H8
参考答案:B
本题解析:
本题难度:一般
2、选择题 相同条件下,等质量的下列烃完全燃烧生成CO2和H2O,所消耗的O2最多的是
[? ]
A.C3H4?
B.C2H4?
C.CH4?
D.苯
参考答案:C
本题解析:
本题难度:简单
3、选择题 实验测得乙烯与O2的混合气体密度是相同条件下H2密度的14.5倍,则混合气体中乙烯的质量分数为
[? ]
A.25.0%?
B.27.6% ?
C.72.4%?
D.75.0%
参考答案:C
本题解析:
本题难度:一般
4、选择题 将0.2mol两种气态烃组成的混合气完全燃烧后得到6.72升二氧化碳(标准状况下)和7.2克水, 下列说法正确的是?
[? ]
A.一定有乙烯
B.一定有甲烷
C.一定没有甲烷
D.可能有乙烷
参考答案:B
本题解析:
本题难度:一般
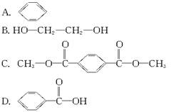
5、选择题 塑料制品废弃物会严重污染环境,常称为“白色污染”。为了防治这种污染,有一条重要途径是将合成高分子化合物重新变成小分子化合物。目前对结构为
的物质已成功实现这种处理。试分析若用CH3OH来处理它,能得到的有机物可能是(? )
参考答案:BC
本题解析:对结构为
的物质,用甲醇进行酯交换从而降解为小分子的HO—CH2—CH2—OH。
本题难度:简单