1、推断题  化合物H是一种香料,存在于金橘中,可用如下路线合成: 

已知:R-CH=CH2 RCH2CH2OH (B2H6为乙硼烷)。
RCH2CH2OH (B2H6为乙硼烷)。
回答下列问题: 
(1)11.2?L(标准状况)的烃A在氧气中充分燃烧可以产生88?g?CO2和45g?H2O。A的分子式是_____________; 
(2)B和C均为一氯代烃,它们的名称(系统命名)分别为_________; 
(3)在催化剂存在下1?mol?F与2?mol?H2反应,生成3-苯基-1-丙醇。F的结构简式是________; 
(4)反应①的反应类型是___________; 
(5)反应②的化学方程式为_______________; 
(6)写出所有与G具有相同官能团的G的芳香类同分异构体的结构简式_________________。 
 
	参考答案:(1)C4H10? 
(2)2-甲基-1-氯丙烷、2-甲基-2-氯丙烷
(3)
(4)消去反应(5)
(6)
	本题解析:
	本题难度:一般
	        2、填空题  (8分)2005年诺贝尔化学奖由法国科学家YvesChauvin、美国科学家RobertH.Grubbs、Richa rdR.Schrock共同获得。以表彰他
rdR.Schrock共同获得。以表彰他 们在烯烃复分解反应方面研究与应用所作出的贡献。已知烯烃的交叉复分解反应机理为双键断裂,换位连接。可表示为:
们在烯烃复分解反应方面研究与应用所作出的贡献。已知烯烃的交叉复分解反应机理为双键断裂,换位连接。可表示为:

又已知:R-CH2-CH=CH2+C12 ? R-CHCl-CH=CH2+HCl。
R-CHCl-CH=CH2+HCl。
有机物R是烃的含氧衍生物(分子式为:C9H14O6),常用作纤维的增塑剂以及化妆品 等,F也可由油脂水解得到,有机物R的合成路线如下:
等,F也可由油脂水解得到,有机物R的合成路线如下:
试回答下列问题
(1)写出反应①②的类型:①________________、②____________________;
反应③的反应条件______________________________________________
(2)写出结构简式,A:_____________________;E:____________________
(3)写出反应④⑤的化学方程式:
④_______________________________________________________
⑤_______________________________________________________
 
	参考答案:(8分)((1) ①取代?②加成(各1分)?③氢氧化钠水溶液,加热;? (1分)
①取代?②加成(各1分)?③氢氧化钠水溶液,加热;? (1分)
(2) CH3CH=CHCH3;CH2ClCHBrCH2Br(各1分)
(3)④2C2H5OH+O2 2CH3COOH+2H2O(1分)
2CH3COOH+2H2O(1分)
⑤3CH3COOH+CH2O HCHOHCH2OH
HCHOHCH2OH
 +3H2O (2分)
+3H2O (2分)
	本题解析:略
	本题难度:一般
	        3、推断题  化合物H是一种香料,存在于金橘中,可用如下路线合成

已知:
回答下列问题:
(1)11.2L(标准状况)的烃A在氧气中充分燃烧可以产生88 g CO2和45 g H2O。A的分子式是
_______________
(2)B和C均为一氯代烃,它们的名称(系统命名)分别为_______________________;
(3)在催化剂存在下1 mol F与2 mol H2反应,生成3-苯基-1-丙醇。F的结构简式是_____________
(4)反应①的反应类型是_______________;
(5)反应②的化学方程式为______________________________
(6)写出所有与G具有相同官能团的G的芳香类同分异构体的结构简式:_____________________
 
	参考答案:(1)C4H10
(2)2-甲基-1-氯丙烷、2-甲基-2-氯丙烷 (3)
(4)消去反应
(5)
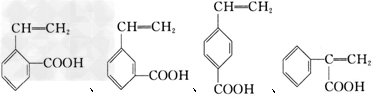
(6) ;
; ;
; ;
;
	本题解析:
	本题难度:困难
	        4、填空题  (11分)请你给出化合物A—K的结构简式。其中D的相对分子质量为100。

A ??、B ??、C???、D???、E???、
F ??、G???、H???、I ??、G ??、K ??.
 
	参考答案:
	本题解析:本题的突破点有以下几处。首先B通入溴的四氯化碳溶液变为C3H5Br2Cl,所以B为一氯丙烯,A为丙烯。另外B通过氢氧化钠水溶液形成E,所以E为丙烯醇。第二个突破点在A在催化氧化下生成D,而D的相对原子质量为100,所以D为CH3COOCH2=CH=CH2C为乙酸。第三个突破点在于最后I酸化变成C,所以I为乙酸钠,则F为乙酸甲酯,那么倒推回去J为甲醇。第四个突破点在G的分子式中,不饱和度为4,所以含苯环,在催化下与E反应生成甲醇,所以G为苯甲酸甲酯。H及H的聚合物也可以顺利推出。
点评:本题有机推断题目难度不高,但需要熟练记忆各个有机化学反应的条件及特征,综合利用,逻辑推理。
	本题难度:一般
	        5、简答题  已知:

下列有机化合物A~H有如图的转化关系:

化合物D的分子式为C10H10O,其苯环上的一氯代物只有两种;F的分子式为C10H9OBr.请回答下列问题:
(1)写出下列化合物的结构简式:
A:______?I:______
(2)反应①的反应类型为______,反应②的条件为______.
(3)反应③的化学方程式为:______
(4)化合物D有多种同分异构体,其中属于酚类,结构中除苯环外无其他环且苯环上只有两种互为对位的取代基的同分异构体有______种(不考虑两双键直接相连).
 
	参考答案:在氯化铝、氯化氢和加热条件下,A和一氧化碳发生加成反应生成B,B中含有醛基,碱性条件下,B和乙醛反应生成C,C脱水生成D,化合物D的分子式为C10H10O,其苯环上的一氯代物只有两种,且D中含有-CH=CH-CHO,结合D的分子式、其苯环上的一氯取代物种类知,D中还含有一个甲基,且和-CH=CH-CHO处于相对位置,所以A是甲苯,B是对甲基苯甲醛,C的结构简式为:

,C失水生成D,所以D的结构简式为

,D和溴水发生加成反应生成E

,E和氢氧化钠的醇溶液反应生成F,F的分子式为C10H9OBr,则F的结构简式中可能有两种结构,分别是

、

,D被新制氢氧化铜氧化生成H,H的结构简式为:

,H和甲醇发生酯化反应生成G,则G的结构简式为:

,G发生加聚反应生成I,I的结构简式为

.
(1)通过以上分析知,A和I的结构简式分别是A:

,I:

,
故答案为:A:

,I:

;
(2)D和溴发生加成反应生成E,E和氢氧化钠的醇溶液发生消去反应生成F,其反应条件是强碱的醇溶液、加热,
故答案为:加成反应,强碱的醇溶液、加热;
(3)在加热条件下,D和新制氢氧化铜反应生成H,反应方程式为:

,
故答案为:

;
(4)D的结构简式为

,化合物D有多种同分异构体,其中属于酚类,说明含有酚羟基,结构中除苯环外无其他环且苯环上只有两种互为对位的取代基,即苯环上的两个取代基一个是酚羟基,一个是丁炔基或二烯基,如果是酚羟基和炔基,且处于对位,其同分异构体有4种,如果一个是酚羟基,另一个是二烯基,有2种,所以一共有6种该类型的同分异构体,故答案为:6.
	本题解析:
	本题难度:一般