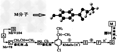
1、推断题 某相对分子质量为26的烃A,是一种重要的有机化工原料,以A为原料在不同的反应条件下可以转化为烃B、烃C。B、C的核磁共振氢谱显示都只有一种氢,B分子中碳碳键的键长有两种。以C为原料通过下列方案可以制备具有光谱高效食品防腐作用的有机物M,M分子的球棍模型如下图所示。

已知:
(Ⅰ):烷基苯在高锰酸钾的作用下,侧链被氧化成羧基,例如:
(Ⅱ):狄尔斯-阿尔德反应:
(1)B无支链,能使溴的四氯化碳溶液褪色,则B的结构简式为?。
(2)1mol B与1mol丙烯在一定条件下发生狄尔斯-阿尔德反应,生成的产物最多消耗?mol Br2(水溶液)。
(3)C→D的反应类型为?,M的分子式为?。
(4)写出E→F的化学方程式? 。
(5)反应①和②顺序能否对换?? (填“能”或“不能”);理由是:? 。
(6)请设计合理的方案以醇H为原料合成乙二醛(
)。提示:合成过程中无机试剂任选,用合成路线流程图表示,并注明反应条件,流程图示例如下:
?
? ?
参考答案:(1)
?
(2)3?
(3)加成反应;C9H10O3?
(4)
+3NaOH
+NaCl+2H2O?
(5)不能;?如果对换,酚羟基易被氧化
(6)CH3CH2OH
CH2=CH2
?



本题解析:
本题难度:一般
2、推断题 (三选一)【选修5:有机化学基础】
香豆素是一种天然香料,存在于黑香豆、兰花等植物中。工业上常用水杨醛与乙酸酐在催化剂存在下加热反应制得

以下是由甲苯为原料生产香豆素的一种合成路线(部分反应条件及副产物已略去)

已知以下信息:①A中有五种不同化学环境的氢 ②B可与FeCl3溶液发生显色反应 ③同一个碳原子上连有连个羧基通常不稳定,易脱水形成羧基。请回答下列问题:
(1)香豆素的分子式为_________________;
(2)由甲苯生成A的反应类型为___________;A的化学名称为__________。
(3)由B生成C的化学反应方程式为_______________________________;
(4)B的同分异构体中含有苯环的还有______种,其中在核磁共振氢谱中只出现四组峰的有_______种;
(5)D的同分异构体中含有苯环的还有______种,其中:
① 既能发生银境反应,又能发生水解反应的是___________________(写结构简式),
② 能够与饱和碳酸氢钠溶液反应放出CO2的是_____________________(写结构简式)。
参考答案:(1)C9H6O2
(2)取代反应;2-氯甲苯(邻氯甲苯)
(3)
(4)4;2
(5)4;
;
本题解析:
本题难度:一般
3、推断题 (三选一)【有机化学基础】
某芳香族化合物H常用作食用香精,用质谱法测得其相对分子质量为162,分子中C、H、O原子个数比为5:5:1,H只有一个支链,它能与溴的四氯化碳溶液发生加成反应,且在碱性条件下能发生水解反应,产物之一是甲醇,G是H的同分异构体。用芳香烃A为原料合成G的路线如下

(1)G的分子式是_______,H的结构简式是____________
(2)化合物C的官能团名称是__________,反应②、⑤的反应类型分别是________、_______。预测E分子中苯环侧链核磁共振氢谱峰面积(由小到大)之比为____________。
(3)写出反应①、⑥的化学方程式:
①:_______________________; ⑥:______________________。
(4)符合下列条件的F的同分异构体的结构简式是___________。
a.分子内含苯环,且苯环上只有一个支链
b.在一定条件下,1mol该物质与足量银氨溶液充分反应,生成4mol银单质
参考答案:(1)C10H10O2
(2)羟基;取代(或水解)反应;消去反应;1:1:3(3)
;

(4)
本题解析:
本题难度:一般
4、推断题 下图中A、B、C、D、E、F、G/H均为有机化合物。

回答下列问题:
(1)有机化合物A的相对分子质量小于60,A能发生银镜反应,1molA在催化剂作用下能与3 mol H2反应生成B,则A的结构简式是___________________,由A生成B的反应类型是_______________________;
(2)B在浓硫酸中加热可生成C,C在催化剂作用下可聚合生成高分子化合物D,由C生成D的化学方程式是__________________________;
(3)①芳香化合物E的分于式是C8H8Cl2。E的苯环上的一溴取代物只有一种,则E的所有可能的结构简式是_______________________________________________。
②E在NaOH溶液中可转变为F,F用高锰酸钾酸性溶液氧化生成G(C8H6O4)。1 mol G与足量的NaHCO3溶液反应可放出44.8 L CO2(标准状况),由此确定E的结构简式是__________________________________________________。
(4)G和足量的B在浓硫酸催化下加热反应可生成H,则由G和B生成H的化学方程式是___________________________________,该反应的反应类型是________________。
参考答案:(1)
;加成反应
(2)
(3)①
、
、
、
、
、
②
(4)
;酯化反应
本题解析:
本题难度:一般
5、填空题 怎样以H2O、H218O、空气、乙烯为原料制取
,写出有关反应的化学方程式。已知:2CH3CHO+O2
2CH3COOH。
_________________________________________
参考答案:①CH2=CH2+H2O
CH3CH2OH
②CH2=CH2+?H218O
CH3CH2-18OH?
③2CH3CH218OH?+?O2
?
④
?
⑤
+C2H5OH
?+?H2O
本题解析:
本题难度:一般