1、填空题  食品安全关系国计民生,影响食品安全的因素很多。
(1)聚偏二氯乙烯( )具有超强阻隔性能,可作为保鲜食品的包装材料。它是由____________________(写结构简式)发生加聚反应生成的。
)具有超强阻隔性能,可作为保鲜食品的包装材料。它是由____________________(写结构简式)发生加聚反应生成的。
(2)劣质植物油中的亚油酸[CH3(CH2)4CH=CHCH2CH=CH(CH2)7COOH]含量很低。下列关于亚油酸的说法中,正确的是____________________________(填序号)。 
A.分子式为C18H34O2
 B.一定条件下能与甘油(丙三醇)发生酯化反应
 C.能和NaOH溶液反应 
D.不能使酸性KMnO4溶液褪色
 Ⅱ.香精( )在食品、药品、化妆品等方面应用广泛,用烷烃A合成香精及其它两种有机物的路线如下。已知:A具有两种一氯代物B和C。?
)在食品、药品、化妆品等方面应用广泛,用烷烃A合成香精及其它两种有机物的路线如下。已知:A具有两种一氯代物B和C。? 

回答下列问题:
(1)和互为同分异构体的是____________________ (填序号)。 
(2)D物质的名称为______________________________。
(3)高分子F的结构简式为______________________________;
(4)写出H和I反应生成三酯的化学方程式:______________________________。
 
	参考答案:I.(1)CCl2=CH2
(2)B、C 
II.(1)1、2、4、
(2)1,2、一二溴丙烷 
(3) 
(4)
	本题解析:
	本题难度:一般
	        2、填空题  F是新型降压药替米沙坦的中间体,可由下列路线合成:

(1)A→B的反应类型是_______,D→E的反应类型是_______,E→F的反应类型是_________。 
(2)写出满足下列条件的B的所有同分异构体_________(写结构简式)。 
①含有苯环
②含有酯基
③能与新制Cu(OH)2反应 
(3)C中含有的官能团名称是_________。已知固体C在加热条件下可溶于甲醇,下列C→D的有关说法正确的是_______。 
a.使用过量的甲醇,是为了提高D的产率 
b.浓硫酸的吸水性可能会导致溶液变黑 
c.甲醇既是反应物,又是溶剂 
d.D的化学式为C9H9NO4
(4)E的同分异构体苯丙氨酸经聚合反应形成的高聚物是________(写结构简式)。
(5)已知: 在一定条件下可水解为R1COOH和R2-NH2,则F在强酸和长时间加热条件下发生水解反应的化学方程式是_____________________。
在一定条件下可水解为R1COOH和R2-NH2,则F在强酸和长时间加热条件下发生水解反应的化学方程式是_____________________。
 
	参考答案:(1)氧化反应;还原反应;取代反应
(2)
(3)硝基、羧基;a、c、d 
(4)
(5)
	本题解析:
	本题难度:困难
	        3、推断题  下图中?A、B、C、D、E均为有机化合物.已知:C能跟NaHCO3发生反应,C和D的相对分子质量相等,且E为无支链的化合物.?

根据上图回答问题: 
(1)C分子中的官能团名称是________;化合物B不能发生的反应是________(填字母序号):? a.加成反应 b.取代反应 c.消去反应 d.酯化反应 e.水解反应 f.置换反应 
(2)反应②的化学方程式是_____________________________. 
(3)反应②实验中加热的目的是: 
Ⅰ.____________________________________; 
Ⅱ.____________________________________.
 (4)A的结构简式是____________________. 
(5)同时符合下列三个条件的B的同分异构体有______种. 
Ⅰ.含有间二取代苯环结构;Ⅱ.属于非芳香酸酯;Ⅲ.与?FeCl3溶液发生显色反应.写出其中任意一个同分异构体的结构简式?______________________. 
(6)常温下,将C溶液和NaOH溶液等体积混合,两种溶液的浓度和混合后所得溶液的pH如下表: 

从m组情况分析,所得混合溶液中由水电离出的c(OH-)=________?mol/L. n组混合溶液中离子浓度由大到小的顺序是____________________. 
 
	参考答案:(1)羧基;e
(2)CH3COOH+CH3CH2CH2OH CH3COOCH2CH2CH3+H2O
CH3COOCH2CH2CH3+H2O
(3)①加快反应速率;②及时将产物乙酸丙酯蒸出,以利于平衡向生成乙酸丙酯的方向移动(4)
(5)4;
(6)10-5;c(CH3COO-)>c(Na+)>c(H+)>?c(OH-)
	本题解析:
	本题难度:一般
	        4、填空题  烃X(标况下的密度为1.25g/L)是石油化学工业的基础原料它的产量是衡量一个国家石油化学工业水平的重要标志.已知F是一种常见的塑料

回答下列问题:
(1)写出结构简式:X______?F______
(2)完成下列反应方程式:
①实验室制取X______
②A→B______
③D→E______
④A和C反应______.
 
	参考答案:烃X在标况下的密度为1.25g/L,故其摩尔质量为1.25g/L×22.4L/mol=28g/mol,且是石油化学工业的基础原料,它的产量是衡量一个国家石油化学工业水平的重要标志,故X为C2H4,与水发生加成反应生成A,故A为C2H5OH,乙醇催化氧化生成B,B为CH3CHO,乙醛氧化生成C,C为CH3COOH;乙烯与氯气发生加成反应生成D,D为CH2ClCH2Cl,CH2ClCH2Cl发生消去反应脱去1分子HCl生成E,故E为CHCl=CH2,CHCl=CH2发生加聚反应生成F,为

,
(1)由上述分析可知,X为C2H4,结构简式为CH2=CH2,F为

,
故答案为:CH2=CH2;

;
(2)完成下列反应方程式:
①实验室用乙醇在浓硫酸作用下、加热170℃,发生消去反应制取C2H4,反应方程式为:C2H5OH浓硫酸
	本题解析:
	本题难度:一般
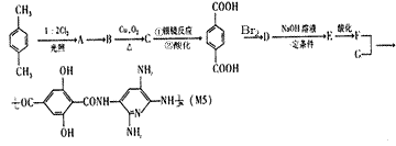
	        5、填空题  M5纤维是美国开发的一种超性能纤维,下面是M5纤维的合成路线(有些应未注明条件)

请回答
(1)写出合成M5单体F的结构简式:________________。 
(2)反应类型:A→B________________,F+G→M5________________。
(3)某些芳香族有机物是C的同分异构体,则这些芳香族有机物(不包含C)结构中不可能有________________(填序号) 
a.两个羟基 b.一个醛基 c.两个醛基 d.一个羧基
(4)写出化学方程式: 
B→C___________________________, D→E________________________。 
 
	参考答案:(1) (2)取代反应;缩聚反应
(2)取代反应;缩聚反应
(3)d(4)
	本题解析:
	本题难度:困难