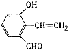
1、简答题 A、B、C、D均为常见的有机物,在一定条件下,它们有如图所示的转化关系:
其中M(C)>M(B)>M(A)(M表示摩尔质量),D具有果香味.
(1)不溶于水的物质是(填字母)______;
(2)能使紫色石蕊试液变红的物质是(填名称)______;
(3)A的结构简式为______;
(4)写出D与水反应生成B和C的化学方程式(有机物用结构简式表示):
______.

参考答案:D具有果香味,应为酯,由结构简式可知应为CH3COOCH2CH3,由摩尔质量关系M(C)>M(B)>M(A)可知B为CH3CH2OH,C为CH3COOH,则A为CH3CHO,
(1)A、B、C、D四种物质中,只有D(A、B、C、D)不溶于水,
故答案为:D;
(2)能使紫色石蕊试液变红的物质,应具有酸性,为乙酸,
故答案为:乙酸;
(3)由以上分析可知A为CH3CHO,
故答案为:CH3CHO;
(4)加热条件下,乙酸乙酯和氢氧化钠反应生成乙酸钠和乙醇,反应方程式为:CH3COOCH2CH3+H2O催化剂
本题解析:
本题难度:一般
2、推断题 (1)若A是相对分子质量为106的烃.则其分子式只可能是______________,若A中含有苯环,则其在苯环上的一硝基取代物共有______种。
(2)0.1 mol某种苯的同系物完全燃烧,生成的气体通过浓H2SO4,使浓H2SO4增重10.8 g,再通过NaOH溶液,溶液增重39.6 g。这种苯的同系物苯环上的一氯代物有3种,则其分子式为_______________ ,其可能的结构简式为____________________。
参考答案:(1)C8H10;9
(2)C9H12;
、
、
本题解析:
本题难度:一般
3、推断题 阿明洛芬属于苯丙酸类抗炎药,镇痛效果优于布洛芬。下图是阿明洛芬的一条合成路线。

(1)反应①为取代反应,该步反应物Me2SO4中的“Me”表示____________。
(2)E中的官能团有:___________、___________(写名称)。
(3)写出F的结构简式_______________。
(4)反应③可以看成是两步反应的总反应,第一步是氰基(-CN)的完全水解反应生成羧基(-COOH),请写出第二步反应的化学方程式________________________。
(5)阿司匹林也是一种抗炎镇痛药,可由水杨酸(邻羟基苯甲酸)和醋酸酐合成。请以邻羟基苯甲醇为有机原料设计合理步骤合成水杨酸。(已知:苯酚易被氧化而苯酚钠难被氧化。)提示:
①合成过程中无机试剂任选;②只选用本题提供的信息和学过的知识;③合成反应流程图表示方法示例如下

__________________________________
参考答案:(1)甲基(-CH3)
(2)氨基;酯基 (3)
(4)
(5)
本题解析:
本题难度:困难
4、填空题 从樟科植物枝叶提取的精油中含有下列甲、乙、丙三种成分


(1)甲中含氧官能团的名称为_____________________。
(2)由甲转化为乙需经下列过程(已略去各步反应的无关产物,下同)

其中反应Ⅰ的反应类型为____________,反应Ⅱ的化学方程式为___________________________(注明反应条件)。
(3)已知:

由乙制丙的一种合成路线图如下(A~F均为有机物,图中Mr表示相对分子质量)

①下列物质不能与C反应的是_____________________(选填序号)
a.金属钠 b.HBr c.Na2CO3溶液 d.乙酸
②写出F的结构简式_____________________。
③D有多种同分异构体,任写其中一种能同时满足下列条件的异构体结构简式_____________________。
a.苯环上连接着三种不同官能团 b.能发生银镜反应
c.能与发生加成反应 d。遇溶液显示特征颜色
④综上分析,丙的结构简式为_____________________。
参考答案:(1)羟基
(2)加成反应;
(3)①c;②
;③
(答案合理即可);
④
本题解析:
本题难度:困难
5、填空题 A是一种常见的烃,标准状况下,A对氢气的相对密度是14.乳酸是一种常见的有机酸,用途广泛.高吸水性树脂F是一种高分子材料,可用于干旱地区抗旱保水、改良土壤、改造沙漠,还可制作尿不湿.下图是由A为原料制取高吸水性树脂F的合成路线图:

请回答:
(1)A的名称是______A→B的反应类型是______.
(2)乳酸分子中核磁共振氢谱峰面积比是______.
(3)B→C的化学方程式是:______.
(4)乳酸→D的化学方程式是:______.
(5)由E到F反应的化学方程式是:______.
参考答案:A是一种常见的烃,标准状况下,A对氢气的相对密度是14,则A的相对分子质量为14×2=28,则A为CH2=CH2.C生成乳酸的转化发生信息给予的反应,则C为醛,B氧化得到C,则B为醇,故A与水发生加成反应生成B,B为CH3CH2OH,则C为CH3CHO,结合反应信息,乳酸的结构为CH3CH(OH)COOH,在浓硫酸、加热条件下发生消去反应生成D,D为CH2=CHCOOH,D与氢氧化钠反应生成E,E为CH2=CHCOONa,E发生加聚反应得到高聚物F,F为
,
(1)A为CH2=CH2,名称是乙烯,A→B是乙烯与水发来源:91考试网 91Exam.org生加成反应生成CH3CH2OH,
故答案为:乙烯;加成反应;
(2)乳酸分子结构为CH3CH(OH)COOH,分子中有4种化学环境不同的H原子,H原子数目分别为3、1、1、1,故核磁共振氢谱峰面积比是3:1:1:1,
故答案为:3:1:1:1;
(3)B→C乙醇催化氧化生成乙醛,反应方程式为:2CH3CH2OH+O2Cu
本题解析:
本题难度:一般