高考省级导航

全国 A安徽 B北京 C重庆 F福建 G广东 广西 甘肃 贵州 H河南 河北 湖南 湖北 黑龙江 海南 J江苏 江西 吉林 L辽宁 N内蒙古 宁夏 Q青海 S山东 山西 陕西 四川 上海 T天津
     X新疆 西藏 Y云南 Z浙江

高考化学高频试题、高中化学题库汇总-压中真题已成为一种习惯

化学基本概念: 物质的组成、性质和分类 化学用语 化学常用计量 溶液和胶体 离子反应 氧化还原反应 化学基本理论: 物质结构和元素周期律 化学反应与能量 化学反应速率和化学平衡 电解质溶液 电化学 常见无机物及其应用: 金属及其化合物 非金属及其化合物 无机综合与推断 物质结构与性质: 原子结构与元素性质 化学键与物质的性质 分子间作用力与物质的性质 有机化合物及其应用: 有机化合物的组成与结构 烃的衍生物 生活中的有机物 高分子化合物 有机合成与推断 化学与生活和技术: 化学与健康 化学与材料的制造、应用 化学与环境保护 化学与资源开发利用 化学与工农业生产 化学实验: 化学实验基础知识 物质的分离、提纯和检验 物质的制备、收集和净化 定量实验 实验方案的设计与评价 化学计算: 溶液浓度计算 pH计算 反应热计算 氧化还原、电化学的计算 反应速率与平衡的有关计算 晶体计算 有机物燃烧规律的计算 认识化学学科: 化学学科的特点 化学史 绿色化学

高考化学必考知识点《物质的量》试题特训(2019年最新版)(四)
2020-07-07 23:00:17 【

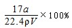
1、选择题  在标准状况下,将a L NH3完全溶于水得到V mL氨水,溶液的密度为ρ g/cm3,溶质的质量分数为ω,溶质的物质的量浓度为c mol/L。下列叙述中正确的是(?)
A.ω=35a/(22.4Vρ)
B.c =a/(22.4V)mol/L
C.上述氨水中再加入等体积等浓度的稀盐酸后溶液恰好呈中性
D.上述氨水中再加入V mL水后,所得溶液的质量分数小于0.5ω


参考答案:D


本题解析:A.氨气溶于水,主要以NH3?H2O存在,但仍然以NH3作为溶质,=故B错误;C、上述氨水中再加入等体积等浓度的稀盐酸后生成氯化铵,为强酸弱碱盐,溶液呈酸性,故C错误;D.,故D正确;


本题难度:一般



2、选择题  下列叙述中正确的是
①标准状况下,lL HCl和lL H2O的物质的量相同
②标准状况下,lg H2和14g N2的体积相同
③28gCO的体积为22.4L
④两种物质的物质的量相同,则它们在标准状况下的体积也相同
⑤在同温同体积时,气体的物质的量越大。则压强越大
⑥同温同压下,气体的密度与气体的相对分子质量成正比
A.①②③
B.②⑤⑥
C.②③⑥
D.④⑤⑥


参考答案:B


本题解析:①标准状况下水不是气态,不能适用于气体摩尔体积,则lL HCl和lL H2O的物质的量不相同,错误;②标准状况下,lg H2和14g N2的物质的量均是0.5mol,体积相同,正确;③28gCO的物质的量是1mol,其体积不一定为22.4L,错误;④两种物质的物质的量相同,则它们在标准状况下的体积不一定也相同,因为不一定都是气体,错误;⑤根据PV=nRT可知在同温同体积时,气体的物质的量越大,则压强越大,正确;⑥同温同压下,气体的密度与气体的相对分子质量成正比,正确,答案选B。
考点:考查阿伏加德罗定律的应用


本题难度:一般



3、简答题  实验室欲用NaOH固体配制1.0mol/L的NaOH溶液480mL:
(1)配制时,必须使用到的玻璃仪器有______、______、______、______
(2)使用容量瓶前必须进行的一步操作是______
(3)要完成本实验该同学应称出NaOH______g
(4)在配制过程中,其他操作都是正确的,下列操作会引起所配溶液浓度偏高的是______
①称量固体药品时所用的砝码是生锈的
②称量时间过长
③容量瓶不干燥,含有少量蒸馏水
④定容时俯视刻度线
⑤未冷却到室温就将溶液转移到容量瓶并定容
⑥定容后塞上瓶塞反复摇匀,静置后,液面低于刻度线,再加水至刻度线.


参考答案:(1)没有480mL容量瓶,所以选择500mL容量瓶,操作步骤有计算、称量、溶解、移液、洗涤移液、定容、摇匀等操作,一般用托盘天平称量,用药匙取用药品,在烧杯中溶解,用玻璃棒搅拌,加速溶解,恢复室温后转移到500mL容量瓶中,并用玻璃棒引流,洗涤2-3次,并将洗涤液移入容量瓶中,当加水至液面距离刻度线1~2cm时,改用胶头滴管滴加,最后定容颠倒摇匀.所以需要的仪器有托盘天平、烧杯、500ml的容量瓶、胶头滴管、药匙,
故答案为:烧杯;500ml的容量瓶;玻璃棒;胶头滴管;?
(2)因为最后需颠倒摇匀,所以容量瓶在使用前必须检查是否漏水.故答案为:查漏;
(3)需氢氧化钠的质量为m=0.5L×1mol?L-1×40g/mol=20.0g.故答案为:20.0;
(4)①称量固体药品时所用的砝码是生锈的,氢氧化钠的实际质量偏大,溶液浓度偏高,
②称量时间过长,由于氢氧化钠具有吸湿性,氢氧化钠的实际质量偏小,溶液浓度偏低,
③容量瓶不干燥,含有少量蒸馏水,对溶液浓度无影响;
④定容时俯视刻度线,导致溶液体积偏小,所配溶液浓度偏高;
⑤未冷却到室温就将溶液转移到容量瓶并定容,温度恢复室温后,会导致溶液体积偏小,溶液浓度偏高;
⑥定容后塞上瓶塞反复摇匀,静置后,液面低于刻度线,再加水至刻度线,导致溶液体积偏大,所以溶液浓度偏低.
故选:①④⑤.


本题解析:


本题难度:一般



4、选择题  在无土裁培中,配制1L含0.5molNH4Cl、0.16molKCl、0.24molK2SO4的某营养液,若用KCl、NH4Cl和(NH4)2SO4三种固体配制,则需此三种固体的物质的量分别为(  )
A.0.40mol0.50mol0.12mol
B.0.66mol0.50mol0.24mol
C.0.64mol0.50mol0.24mol
D.0.64mol0.02mol0.24mol


参考答案:①0.5molNH4Cl、0.16molKCl、0.24molK2SO4中 n(NH4+)=n(NH4Cl)=0.5mol;
n( Cl-)=n(NH4Cl)+n(KCl)=0.5mol+0.16mol=0.66mol;
n( K+)=n(KCl)+2n(K2SO4)=0.16mol+2×0.24mol=0.64mol;
n(SO42-)=n(K2SO4)=0.24mol;
用KCl、NH4Cl、(NH4)2SO4配制,
n((NH4)2SO4)=n(SO42-)=0.24mol;
n(KCl)=n( K+)=0.64mol;
n(NH4Cl)=n( Cl-)-n(KCl)=0.66mol-0.64mol=0.02mol;
答案为:0.64mol;0.02mol;0.24mol;
故选D.


本题解析:


本题难度:简单



5、选择题  当物质的量浓度相同的NaCl、MgCl2、AlCl3三种溶液中所含Cl-的个数相等时,这三种溶液的体积比应是(  )
A.1:1:1
B.1:2:3
C.3:2:1
D.6:3:2


参考答案:设NaCl、MgCl2、AlCl3三种溶液的物质的量浓度为c,体积分别为x、y、z;所含Cl-的个数相等,所以氯离子的物质的量相等,设氯离子的物质的量为m,
NaCl溶液中,c(NaCl)=c(Cl-),n(Cl- )=cx=m,x=mc,
MgCl2溶液中,c(MgCl2)=12c(Cl-)=c,c(Cl-)=2c,n(Cl- )=2cy=m,y=m2c,
AlCl3溶液中,c(AlCl3)=13c(Cl-),c(Cl-)=3c,n(Cl- )=3cz=m,z=m3c,
NaCl、MgCl2、AlCl3三种溶液的体积比应 mc:m2c:m3c=6:3:2,
故选D.


本题解析:


本题难度:一般



】【打印繁体】 【关闭】 【返回顶部
下一篇高考化学知识点总结《物质的分类..

问题咨询请搜索关注"91考试网"微信公众号后留言咨询