1、选择题 下表中实验操作不能达到实验目的的是
[? ]
实验操作
实验目的
A.
加新制的Cu(OH)2并加热
检验糖尿病人尿液中是否含有葡萄糖
B.
通入稀溴水
检验SO2中是否混有乙烯
C.
滴入紫色石蕊试液?
检验酒精中是否混有醋酸
D.
用饱和碳酸钠溶液洗涤后分液
除去乙酸乙酯中少量的乙醇和乙酸
参考答案:B
本题解析:
本题难度:一般
2、选择题 下列装置能达到实验目的的是

[? ]
A.图1探究NaHCO3的热稳定性
B.图2可用于收集H2、NH3、CO2、Cl2、HCl、NO2等气体
C.图3可以检验火柴头燃烧产生的SO2
D.图4可以证明CH3CH2OH发生消去反应生成了乙烯
参考答案:B
本题解析:
本题难度:简单
3、填空题 测血钙的含量时,可将2.0 mL血液用蒸馏水稀释后,向其中加入足量草酸铵(NH4)2C2O4晶体,反应生成
CaC2O4沉淀。将沉淀用稀硫酸处理得H2C2O4后,再用酸性KMnO4溶液滴定,氧化产物为CO2,还原产物为Mn2+,若终点时用去20.0 mL 1.0×10-4 mol/L的KMnO4溶液。
(1)写出用KMnO4滴定H2C2O4的离子方程式______________________________。
(2)判断滴定终点的方法是________________________。
(3)计算:血液中含钙离子的浓度为________g·mL-1。
参考答案:(1)2MnO4-+5H2C2O4+6H+===2Mn2++10CO2↑+8H2O
(2)当滴入1滴酸性KMnO4溶液后溶液由无色变为浅紫色,且半分钟内不退色
(3)1.0×10-4
本题解析:
本题难度:一般
4、选择题 某有机物燃烧后产物只有CO2和H2O,可推出的结论是,这种有机物中( )
A.一定只有C、H
B.可能含有C、H、O
C.一定含有C、H、无O
D.一定含有C、H、可能有O
参考答案:D
本题解析:
本题难度:一般
5、实验题 人体呼出气体中含有N2、O2、CO2、水蒸气等多种成分。某课外学习小组利用下图装置测定N2、O2、
CO2、的百分含量(忽略水蒸气等微量成分)。其中B是带刻度的量气装置。试验步骤

①先检验装置的气密性。再向装置中装入药品(如图所示),其中C瓶溶液上方为100mL 已除尽CO2的空气(N2和O2的体积比为4 :1)。
②打开止水夹b、c、d,关闭止水夹e,向B瓶中吹气后关闭d,并冷却到室温,收集到V1mL气体。
③关闭b,打开止水夹a、c、e、f,用打气筒向A瓶中缓缓充气,直到B中气体刚好全部排出,此时量筒中液面读数为V2mL。
④关闭e、f,降低燃烧匙的高度,用电火花引燃红磷。
⑤等C瓶冷却到室温,打开f1最终量筒液面读数为V3mL。
回答下列问题:
(1)A、B中装饱和NaHCO3而不能装饱和Na2CO3溶液的原因是____________________________。
(2)C装置中红磷要过量的目的是____________________________。
(3)反应结束后,C瓶溶液中含有溶质的化学式为________________________________。
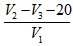
(4)利用上述数据计算人体呼出气体中氧气所占体积百分数为____________________,CO2所占体积百分数为____________________。
(5)步骤⑤中C瓶还未冷却到室温就打开止水夹读数,这样会使所测氧气体积分数___________(填“偏大”或“偏小”)。
(6)严格按①~⑤进行试验后测得数据仍有一定误差,可能的原因是(答出一点即可)_____________________________________
参考答案:(1)Na2CO3能够吸收CO2
(2)耗尽其中的氧气
(3)NaOH 、Na2CO3、Na3PO4(NaPO3)
(4)
;(V1 -V2)/V1?
(5)偏小
(6)测量读数时,各装置中液面不在同一水平面上,压强差会造成体积的误差(或未考虑导管中残存气体对测定结果的影响;极少量的氧气、氮气溶解)(答案合理即可)
本题解析:
本题难度:困难