1、填空题 (14分)
有机化合物A是一种农药生产的中间体,A在一定条件下可发生下列转化:

请回答下列问题:
(1)A分子中不含氧官能团的名称为。
(2)C不能发生反应的类型有(填字母)。
a.取代? b.消去? c.加成? d.氧化? e.加聚
(3)F可能的结构简式为
(4)反应①的化学方程式为。
(5)E在一定条件下反应能生成高分子化合物,其可能的结构简式为 、。
参考答案:


本题解析:本题考察有机化合物的结构与性质A分子在NaOH溶液中彻底水解产物为:




?
C遇FeCl3显紫色可知C中含有酚羟基(C中有苯环),B中含有苯环则B的结构为:
?
D的结构为
依次可推出其它物质的结构为:
C为? E为
E到F位分子内的酯化反应
(1)从A的结构可以看出A分子中不含氧的官能团有氯原子和苯基。(2)根据C的结构,酚羟基可以发生氧化反应,苯环可以发生加成反应和取代反应所以C不能发生的反应有消去和加聚反应。(3)E到F的条件为浓硫酸且加热,结合E的结构可判断可能的发应有醇羟基的消去反应,羟基与羧基的酯化反应。所以F得结构可能有
这三种
(4)A在碱性条件下氯原子被取代,酯基发生水解反应①的化学方程式为:

(5)E发生缩聚反应生成高分子化合物,因为分子中羟基有两种所以聚合物其可能的结构有两种即:
本题难度:一般
2、填空题 根据下面的反应路线及所给信息填空:

(1)A的结构简式是_________,名称是____________。
(2)反应①的反应类型是___________,反应②的反应类型是 __________,反应③的反应类型是_________。
(3)反应④的化学方程式是_____________________, 反应①的化学方程式是____________________。
参考答案:
(1)
;环己烷
(2)取代反应;消去反应;加成反应
(3)
;
本题解析:
本题难度:一般
3、填空题 (12分)有机高分子化合物甲是
一种常用的光敏高分子材料,其结构简式为:
。
按图可以合成甲,其中试剂Ⅰ可由相对分子质量为26的烃与水加成制得。

已知:
①-CH2OH + -CH2OH
?-CH2OCH2- + H2O
②
回答下列问题:
(1)试剂Ⅰ的名称是?;B→C的反应类型是?;
(2)质谱图显示A的相对分子质量是80.5;A分子中氧元素的质量分数为19.88%,碳元素的质量分数为29.81%,其余为氢元素和氯元素,且A的核磁共振氢谱上有三个吸收峰,峰面积的比例为2:2:1,则A的结构简式为?。
(3)写出下列反应的化学方程式。
①D→E的反应?;
②C与F的反应?。
(4)E的一种同分异构体,水解产物有两种,一种能使溴水褪色,另一种在滴加饱和溴水后,有白色沉淀生成,该物质的结构简式为?。
参考答案:(1)乙醛?消去反应
(2)ClCH2CH2OH
(3)① 2
-CH="CHCHO" + O2
?2
-CH=CHCOOH?
②
-CH=" CHCOONa" + ClCH2CH2OCH= CH2 ?→
-CH= CHCOOCH2CH2OCH= CH2 + NaCl
(4)
-OOCCH=CH2
本题解析:(1)试剂Ⅰ的名称是乙醛;B→C的反应类型是消去反应
(2)由已知条件可推知A 的分子式为:C2H5OCl,又因为A的核磁共振氢谱上有三个吸收峰,峰面积的比例为2:2:1,则A的结构简式为ClCH2CH2OH
(3)①D→E的反应:2
-CH="CHCHO" + O2
?2
-CH=CHCOOH?
②C与F的反应:
-CH= CHCOOCH2CH2OCH= CH2 + NaCl
(4)E的一种同分异构体能发生水解,应是一种脂类物质,能使溴水褪色,说明有碳碳双键,滴加饱和溴水后,有白色沉淀生成,说明存在酚类物质,所以,该物质的结构简式为
-OOCCH=CH2
本题难度:简单
4、填空题 (13分)(2012?山东)[化学﹣有机化学基础]
合成P(一种抗氧化剂)的路线如下:

已知:①
(R为烷基);
②A和F互为同分异构体,A分子中有三个甲基,F分子中只有一个甲基.
(1)A→B的反应类型为 ? .B经催化加氢生成G(C4H10),G的化学名称是 ? .
(2)A与浓HBr溶液一起共热生成H,H的结构简式为 ? .
(3)实验室中检验C可选择下列试剂中的 ? .
a.盐酸? b.FeCl3溶液
c.NaHCO3溶液? d.浓溴水
(4)P与足量NaOH溶液反应的化学反应方程式为 ? (有机物用结构简式表示).
参考答案:(1)消去反应;2﹣甲基丙烷;(2)
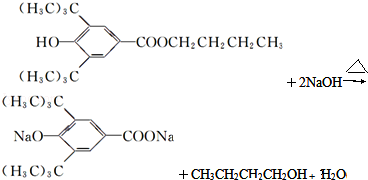
(3)bd(4)
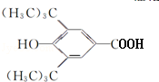
本题解析:A在加热浓硫酸作用下反应生成B,A和B的化学式相差一个H2O,则发生了消去反应,所以A是醇,B是烯烃,B和苯酚反应生成
,所以B是
,A分子中有三个甲基,所以A的结构简式为:
,
反应生成
,
和银氨溶液反应生成D,D的结构简式为:
,酸性条件下,D反应生成E
,A和F互为同分异构体,A分子中有三个甲基,F分子中只有一个甲基,F的结构简式为:CH3CH2CH2CH2OH,E和F发生酯化反应生成P
P的结构简式为:
.
解:A在加热浓硫酸作用下反应生成B,A和B的化学式相差一个H2O,则发生了消去反应,所以A是醇,B是烯烃,B和苯酚反应生成
,所以B是
,A分子中有三个甲基,所以A的结构简式为:
,
反应生成
,
和银氨溶液反应生成D,D的结构简式为:
,酸性条件下,D反应生成E
,A和F互为同分异构体,A分子中有三个甲基,F分子中只有一个甲基,F的结构简式为:CH3CH2CH2CH2OH,E和F发生酯化反应生成P
P的结构简式为:
.
(1)在加热、浓硫酸作用下,醇A发生消去反应生成烯烃B,B经催化加氢生成G(C4H10),G的结构简式为:
CH3CH(CH3)CH3,G的化学名称是2﹣甲基丙烷,故答案为:消去反应;2﹣甲基丙烷;
(2)A与浓HBr溶液一起共热发生取代反应生成H,所以H的结构简式为
,
故答案为:
;
(3)C是苯酚,溴水能和苯酚生成白色沉淀,氯化铁溶液能和苯酚发生显色反应,盐酸和碳酸氢钠与苯酚不反应,故选bd;
(4)P是酯,酯P和氢氧化钠溶液反应方程式为:
,
故答案为:
.
点评:本题考查了有机物的推断,明确物质含有的官能团及其性质是解本题的关键,结合题给信息进行分析解答,注意(5)题中,除了酯基和氢氧化钠反应外,酚羟基也和氢氧化钠反应,容易遗漏而导致错误.
本题难度:一般
5、推断题 (三选一)【选修5:有机化学基础】
聚苯乙烯可用于制备高频绝缘材料,苯乙烯在一定条件下存在如下图转化关系。

请回答下列问题:
(1)反应①的反应类型是_________,C→D的反应类型是___________。
(2)C可能的结构简式有______________。
(3)H有多种同分异构体。同时符合下列条件的同分异构体共有_________种。写出其中1种的结构简式_______________。
a.与FeCl3溶液发生显色反应
b.1mol最多能与3molNaOH反应
c.苯环上只有两个取代基
(4)反应③的化学方程式是______________,Ⅰ的核磁共振氢谱里有_________个吸收峰。
参考答案:(1)取代反应;消去反应(2)
;
(3)3;
(或
)
(4)
;4
本题解析:
本题难度:一般