微信搜索关注"91考试网"公众号,领30元,获取公务员、事业编、教师等考试资料40G!
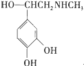
1、选择题 肾上腺素可用于支气管哮喘过敏性反应,其结构简式如下。下列关于肾上腺素的叙述正确的是
[???? ]
A.该物质的分子式为C9H16NO3
B.1 mol该物质与NaOH溶液反应, 可以消耗2 mol NaOH
C.该物质在强碱的醇溶液中可以发生消去反应
D.该物质与浓溴水既能发生取代反应,又能发生加成反应
2、实验题 (14分)下面是甲、乙、丙三位同学制取乙酸乙酯的过程,请你参与并协助他们完成相关实验任务。
[实验目的]制取乙酸乙酯
[实验原理]甲、乙、丙三位同学均采取乙醇(CH3CH218OH)、乙酸与浓硫酸混合共热的方法制取乙酸乙酯,其中浓硫酸除了作吸水剂的作用外还有??????
[装置设计]甲、乙、丙三位同学分别设计了下列三套实验装置:
请从甲、乙两位同学设计的装置中选择一种作为实验室制取乙酸乙酯的装置,我选择的装置是???????(选填 “甲”或 “乙”)。丙同学将甲装置中的玻璃管改成了球形干燥管除起冷凝作用外,它的另一重要作用是???????????

[实验步骤](1)按选择的装置组装仪器,在试管中先加入3mLCH3CH218OH,2mL冰醋酸,并在摇动下缓缓加入2mL浓硫酸充分摇匀, (2)将试管固定在铁架上;(3)在试管②中加人适量的饱和Na2CO3溶液;(4)用酒精灯对试管①加热;(5)当观察到试管②中有明显现象时停止实验。
[问题讨论]a.根据试管②中观察到的现象,可知乙酸乙酯的物理性质有:
无色油状液体、?????????????????????????????????????;
b.试管 ② 中饱和 Na2CO3的作用是溶解乙醇、降低乙酸乙酯的溶解度还有??的作用
c.?从试管②中分离出乙酸乙酯的实验操作是???????????????
d.?生成乙酸乙酯的化学反应方程式???????????????????????????????
3、选择题 白酒密封储存在地窖里,时间越长越香,形成这种香味效果的主要物质是
A.醇类物质 B.酯类物质 B.酸类物质 D.盐类物质???????
4、选择题 某有机物M是合成药物的中间体,其结构如下图所示,下列说法不正确的是

A.M属于芳香族化合物
B.M的分子式为C14H19O3Cl
C.1 mol M最多能消耗3 mol NaOH
D.M能发生取代、加成、消去反应
5、选择题 霉变的大米、花生中含有黄曲霉素,黄曲霉素的结构如下图所示。下列说法中不正确的是?

??? [???? ]
A.霉变的大米、花生等绝对不能食用
B.1个黄曲霉素分子中至少有8个碳原子共平面
C.1 mol该化合物能与7 mol H2发生加成反应
D.1 mol该化合物与NaOH溶液反应,最多消耗2 mol NaOH