微信搜索关注"91考试网"公众号,领30元,获取公务员、事业编、教师等考试资料40G!
1、选择题 碳元素有三种原子:
、
、
,则三种原子具有不同的
A.核电荷数
B.中子数
C.电子层数
D.核外电子数
参考答案:B
本题解析:
本题难度:简单
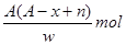
2、选择题 某元素原子的质量数为A,它的阳离子Xn+核外有x个电子,w克这种元素的原子核内中子数为
A.
B.
C.
D.
参考答案:C
本题解析:
本题难度:简单
3、选择题 下列酸性最强的是 (???? )
A? HClO4??????? B? H2SO4???C? H2SiO3?????? D? H3PO4
参考答案:D
本题解析:
本题难度:简单
4、推断题 X、Y、Z、W是元素周期表前四周期中的常见元素,其相关信息如下表:
元素
| 相关信息
|
X
| X的基态原子L层电子数是K层电子数的2倍
|
Y
| Y的基态原子最外层电子排布式为:nsnnpn+2
|
Z
| Z存在质量数为23,中子数为12的核素
|
W
| W有多种化合价,其白色氢氧化物在空气中会迅速变成灰绿色,最后变成红褐色
(1)X的电负性比Y的______(填“大”或“小”); (2)写出W的价电子排布式???????写出Z2Y2与XY2反应的化学方程式,???????当1摩尔Z2Y2参加反应时,转移电子的数目:______________。 (3)X、Y的原子可共同形成多种分子和某种常见无机阴离子,写出其中一种分子与该无机阴离子在水溶液中反应的离子方程式:______________。 (4)X元素的氢化物的沸点与同主族下一周期的元素的氢化物的沸点比较,沸点高的是?(写化学式)
参考答案:(12分) (1) 小? (2) 3d64s2?? 2Na2
本题解析:
本题难度:一般
5、选择题 下列属于同位素的一组是?? A.O2、O3?????? B.Na2O、Na2O2???????????C.金刚石、石墨、?? D.H、D、T
参考答案:D
本题解析:
本题难度:简单
|