微信搜索关注"91考试网"公众号,领30元,获取公务员、事业编、教师等考试资料40G!
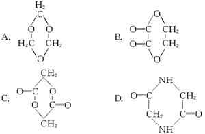
1、选择题 下列环状化合物中,在稀H2SO4作用下均可发生水解反应,但产物不是一种的是(???)
2、选择题 按系统命名法命名时,以下物质的主链碳原子数是( )
A.5
B.6
C.7
D.8

3、选择题 下列有机物的命名,正确的是

A.2,3,3,8,8——五甲基壬烷
B.2,2,7,7,8——五甲基壬烷
C.2,3,3,5,5——五甲基戊烷
D.2,2,4,4,5——五甲基戊烷
4、填空题 现有下列物质:①乙炔 ②苯酚溶液 ③乙醛 ④淀粉溶液 ⑤氨基酸。请回答:
(1)遇碘水呈蓝色的是????????????(填序号,下同)。
(2)能发生成肽反应的是????????????。
(3)能跟溴发生加成反应的是????????????。
(4)能跟银氨溶液发生银镜反应的是???????????。
(5)能跟饱和溴水反应生成白色沉淀的是????????????。
5、选择题 有机物

??的正确命名为( )
A.2-乙基-3,3-二甲基-4-乙基戊烷
B.3,3-二甲基-4-乙基戊烷
C.3,3,4-三甲基己烷
D.2,3,3-三甲基己烷