微信搜索关注"91考试网"公众号,领30元,获取公务员、事业编、教师等考试资料40G!
1、填空题 下图是无机物A~M在一定条件下的转化关系(部分产物及反应条件未列出)。其中,I是由第三周期元素组成的单质中熔点最高的金属,K是一种红棕色气体。

提示:4FeS2+11O2高温,2Fe2O3+8SO2
请填写下列空白:
(1)在周期表中,组成单质G的元素位于第________周期________族。
(2)在反应⑦中氧化剂与还原剂的物质的量之比为________。
(3)在②、③、⑥、⑨中既属于化合反应又属于非氧化还原反应的是________(填序号)。
(4)反应④的离子方程式是_____________________________________。
(5)将化合物D与KNO3、KOH共熔,可制得一种“绿色”环保高效净水剂K2FeO4(高铁酸钾),同时还生成KNO2和H2O。该反应的化学方程式是________________________。
参考答案:(1)四 Ⅷ
(2)1∶2
(3)③
(4
本题解析:该题推断的突破口是反应①,根据“提示”可知D、A分别是Fe2O3、SO2;根据题中叙述信息,可知I为Al,K为NO2,再根据框图信息可以推断出B为SO3,C为硫酸,E为Fe(OH)3,F的溶液中含Fe3+,G为Fe,H为氧化铝,J为硝酸,L为NO,M的溶液中含Fe2+。
本题难度:困难
2、选择题 已知:(1)A、C均能与稀H2SO4反应放出气体;(2)B与D的硝酸盐反应,置换出单质D;(3)C与强碱反应放出气体;(4)C、E在冷浓H2SO4中发生钝化反应,由此可以推断A、B、C、D、E依次为( )
A.Fe、Cu、Al、Ag、Mg
B.Al、Cu、Mg、Ag、Fe
C.Mg、Cu、Al、Ag、Fe
D.Mg、Ag、Al、Cu、Fe
参考答案:C
本题解析:
本题难度:简单
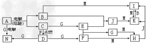
3、推断题 A~N均为中学化学中的常见物质,其中A是日常生活中不可缺少的物质,也是化工生产中的重要原料,单质M是目前使用量最大的金属,常温下B、E、F为气体,G为无色液体,这些物质在一定条件下存在如下转化关系,其中有些反应物或生成物已经略去。???????

回答下列问题:
(1)H的化学式为________________________,D的电子式为_____________。
(2)工业上用A制取N反应的化学方程式为:_______________。
(3)I的饱和溶液滴入沸水中反应的离子方程式为:____________________。
(4)G与M反应的化学方程式为________________________。
参考答案:(1)
本题解析:
本题难度:一般
4、填空题 现有失去标签的6种无色溶液,分别为盐酸、氯化钡、硝酸银、硫酸钠、碳酸钠、硝酸钾溶液.将上述6种溶液两两反应,现象如表所示(↓表示产生沉淀,↑表示产生气体),试推断A、B、C、D、E、F各是上述何溶液(已知Ag2SO4是微溶物,看作沉淀):