|
微信搜索关注"91考试网"公众号,领30元,获取公务员、事业编、教师等考试资料40G!
1、填空题 下表是元素周期表的一部分.
族 周期 | ⅠA | ⅡA | ⅢA | ⅣA | ⅤA | ⅥA | ⅦA | 0 1 ①
2
②
③ ④ 3 ⑤
⑥ ⑦
⑧
4 ⑨
用表中的①~⑨九种元素及其化合物,填写下列空白: (1)②号元素的元素符号为______. (2)非金属性最强的元素是______(填元素符号). (3)常用来做半导体材料的元素是______(填元素符号). (4)最高价氧化物的水化物中,碱性最强的是______(填化学式). (5)最高价氧化物是两性氧化物的是______(填化学式). (6)⑤、⑧两元素形成的化合物的电子式为______.
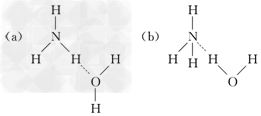
2、填空题 下面是元素周期表的一部分,表中所列字母分别代表某一化学元素.
 (1)NH3·H2O的电离方程式NH3·H2O NH4++OH-,试判断NH3溶于水后,形成的NH3·H2O的合理结构________(填字母代号).
 (2)上表中的c原子间也可形成链状结构,假设c原子间只以单键形式连接,并形成与直链烷烃类似的氢化物,则该系列氢化物的通式为_________________________________. (3)利用稀有气体化合物,人们实现了许多制备实验上的突破.如用j的+6价氧化物在碱性条件下与NaBrO3反应生成NaBrO4,同时生成j的单质.写出上述反应的方程式_________________________________________________. (4)若已知原子结构规律不变,则第166号新元素在元素周期表中位置:______________.
3、推断题 已知A、B、C、D、E是短周期中的5中非金属元素,它们的原子序数依次增大。A元素原子形成的离子核外电子数为零,C、D在元素周期表中处于相邻的位置,B原子的最外层电子数是内层电子数的2倍。E元素与D元素同主族;E的单质为黄色晶体,易容于二硫化碳。 (1)请写出元素符号:A______,B______,C_______,D_______,E_________????????? (2)画出E的阴离子的结构示意图:___________ (3)A的单质和C的单质在一定条件下反应生成化合物X,该反应的化学方程式为_____________。向X的水溶液中滴入酚酞溶液,会观察到____________。?
4、选择题 对于ⅣA族元素,下列叙述中不正确的是[???? ] A.SiO2和CO2中Si和O,C和O之间都是共价键 B.C、Si、Ge的最外层电子数都是4,次外层电子数都是8 C.CO2和SiO2都是酸性氧化物,在一定条件下都能和氧化钙反应 D.该族元素的主要化合价是+4和+2
5、选择题 下列各组微粒具有相同的质子数和电子数的是
A.CH4、NH3、H2 B.OH-、F-、Ne C.H3O+、NH4+、Na+ D.O2-、F-、Mg2+
|
|