微信搜索关注"91考试网"公众号,领30元,获取公务员、事业编、教师等考试资料40G!
1、实验题 为了测定某有机物A的结构,做如下实验:
①将2.3g该有机物完全燃烧,生成0.1mol CO2和 2.7g水;
②用质谱仪测定其相对分子质量,得如图 1所示的质谱图;
③用核磁共振仪处理该化合物,得到如图2所示图谱,图中三个峰的面积之比是 1:2:3。?
?
试回答下列问题:
(1)有机物A的相对分子质量是___________。
(2)有机物A的实验式是____________。
(3)能否根据A的实验式确定A的分子式______(填“能”或“不能”),若能,则A的分子式是 ___________,若不能,则此空不填。
(4)写出有机物A可能的结构简式___________。
2、选择题 某种烷烃11 g完全燃烧时,需要28 L氧气(标准状况 下),该烷烃是
[? ]
A.C5H12
B.C4H10
C.C3H8
D.C2H6
3、选择题 有A、B两种烃,所含碳元素的质量分数相同,关于A和B叙述中正确的是
A.二者不可能是同系物
B.二者一定是同分异构体
C.二者最简式相同
D.各1mol的A和B分别燃烧生成CO2的质量一定相等
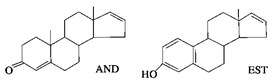
4、选择题 最近《美国科学院院刊》发表了关于人体体香的研究文章,文章称人的体味中存在两种名为“AND”和“EST”的荷尔蒙。关于“AND”和“EST”的下列说法中正确的是

(提示:
)
A.“AND”和“EST”互为同分异构关系
B.“EST”不属于芳香烃,“AND”不属于芳香烃
C.“AND”和“EST”两者分子式之差为CH3
D.“AND”和“EST”均可以与溴水发生反应
5、选择题 燃气灶中心的金属容易生锈,这说明化学腐蚀速率与(?)有关
A.催化剂
B.温度
C.反应物本性
D.气体浓度