微信搜索关注"91考试网"公众号,领30元,获取公务员、事业编、教师等考试资料40G!
1、选择题 化学反应中有很多反应都体现了“强制弱”的规律:比如强酸制弱酸;强氧化性的制弱氧化性的;强稳定性的制弱稳定性的;下列所呈现的反应没有体现这种规律的是
[? ]
A.向硝酸银溶液中滴加氨水,先有白色沉淀,后白色沉淀消失
B.使用惰性电极,电解饱和食盐水的过程
C.将过量二氧化碳通入澄清的苯酚钠溶液中出现浑浊
D.氢氧化铝溶于氢氧化钠溶液中
参考答案:D
本题解析:
本题难度:一般
2、选择题 下列有关苯酚的实验事实中,能说明侧链对苯环性质有影响的是( )
A.苯酚与浓溴水反应生成三溴苯酚
B.苯酚能和NaOH溶液反应
C.苯酚燃烧产生带浓烟的火焰
D.1mol苯酚与3mol H2发生加成反应
参考答案:A
本题解析:
本题难度:简单
3、选择题 有机物分子中原子间(或原子与原子团间)的相互影响会导致物质化学性质的不同。下列事实不能说明上述观点的是
[? ]
A.苯酚能跟NaOH溶液反应,乙醇不能与NaOH溶液反应
B.乙烯能发生加成反应,乙烷不能发生加成反应
C.甲苯能使酸性高锰酸钾溶液褪色,苯不能使酸性高锰酸钾溶液褪色
D.苯与硝酸在加热时发生取代反应,甲苯与硝酸在常温下就能发生取代反应
参考答案:B
本题解析:
本题难度:一般
4、选择题 下列各种说法中正确的是( )
A.苯酚有弱酸性,俗称石炭酸,因此它是一种羧酸
B.凡是能起银镜反应的物质一定是醛
C.在酯化反应中,羧酸脱去羧基中的氢原子,醇脱去羟基生成水和酯
D.乙烯和甲苯都能使酸性高锰酸钾溶液褪色
参考答案:D
本题解析:
本题难度:简单
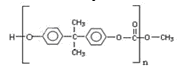
5、简答题 (16分)苯酚是一种重要的化工原料。以苯酚为主要起始原料,经下列反应可制得香料M和高分子化合物N。(部分产物及反应条件已略去)

(1)写出A与CO2在一定条件下反应的化学方程式是 ?。
(2)B中所含官能团名称是 ?。
(3)已知C的分子式为C5H12O,C能与金属Na反应,C的一氯代物有2种。
①C的结构简式是 ?。
②B与C反应的化学方程式是 ?。
(4) D的结构简式是 ?,生成N的反应类型是 ?。
(5)以苯酚为基础原料也可以合成防腐剂F。经质谱分析F的相对分子质量为152,其中氧元素的质量分数为31.58%,F完全燃烧只生成CO2和H2O。
①F的分子式是 ?。
②已知:
A.芳香族化合物F能与NaHCO3溶液反应,且不能发生水解反应;
B.F的核磁共振氢谱显示其分子中含有4种氢原子;
C.分子结构中不存在“-O-O-”的连接方式。
则F的结构简式是 ?。
参考答案:(1)
+CO2
;(2)(酚)羟基,羧基;
(3)①
;②
(4)
;缩聚反应;(5)①C8H8O3;②
本题解析:(1)
有弱酸性,能够与NaOH发生反应得到苯酚钠
;向苯酚钠溶液中通入的CO2在一定条件下会发生反应:

;(2)
酸化得到B:
B中所含官能团名称是酚羟基与羧基。(3)C的分子式为C5H12O,C能与金属Na反应,C的一氯代物有2种,则C是
。②B与C反应得到M。该反应的化学方程式是
②
;(4)苯酚
与丙酮
发生反应得到D:
,D与
发生缩聚反应得到N:
。(5)①(152×31.58%)÷16=3,则含有C为(152-3×16)÷12=8……8,因此该物质的分子式是C8H8O3. ②A.芳香族化合物F能与NaHCO3溶液反应,且不能发生水解反应。说明该物质的分子中含有羧基,没有酯基;B.F的核磁共振氢谱显示其分子中含有4种氢原子;而且在F的分子结构中不存在“-O-O-”的连接方式。则F是
。
本题难度:一般