微信搜索关注"91考试网"公众号,领30元,获取公务员、事业编、教师等考试资料40G!
               
                  
                   
     
      
            1、推断题  乙基香草醛( )是食品添加剂的增香原料。
)是食品添加剂的增香原料。
(1)写出乙基香草醛分子中两种含氧官能团的名称_____________。
(2)与乙基香草醛互为同分异构体,能与NaHCO3溶液反应放出气体,且苯环上只有一个侧链(不含R-O-R′及R-O-COOH结构)的有_________种。
(3)A是上述同分异构体中的一种,可发生以下变化: 

已知:
i.?
 ii.?与苯环直接相连的碳原子上有氢时,此碳原子才可被酸性KMnO4溶液氧化为羧基。 
①写出A的结构简式:___________,反应②发生的条件是______________。 
②由A可直接生成D,反应①和②的目的是______________________。 
③写出反应方程式:A→B___________________, C与NaOH水溶液共热:___________________________。
(4)乙基香草醛的另一种同分异构体E( )是一种医药中间体。由茴香醛
)是一种医药中间体。由茴香醛
( )合成E(其他原料自选),涉及的反应类型有(按反应顺序填写)______________。
)合成E(其他原料自选),涉及的反应类型有(按反应顺序填写)______________。 
 
	参考答案:(1)醛基、(酚)羟基(或醚键)
(2)4种 (3)① ;NaOH醇溶液,加热;②减少如酯化、成醚等副反应的发生
;NaOH醇溶液,加热;②减少如酯化、成醚等副反应的发生
③ ;
;

(4)氧化反应、酯化反应(或取代反应)
	本题解析:
	本题难度:一般
	        2、填空题  甲苯是一种重要的化工原料。某化学实验小组从甲苯经一系列反应合成了化合物C。已知:
(1)R-Br+Mg R-MgBr
R-MgBr
(2)

请完成下列各题: 
(1)反应①是原子利用率100%的反应,物质X的分子式是_____________。
(2)反应②、③的反应类型分别为 ________、______。
(3)物质A为__________ 。
(4)根据以上信息,请设计合理方案以乙烯和CH3MgBr为主要原料合成2,3-丁二醇(其他原料自选,用反应流程图表示,并注明必要的反应条件)。 例:
由乙醇合成聚乙烯的反应流程图可表示为: CH3CH2OH CH2=CH2
CH2=CH2
 
	参考答案:(1)CH2O 
(2)消去反应; 加成反应 
(3)苯乙烯
 (4)
	本题解析:
	本题难度:一般
	        3、填空题  敌草胺是一种除草剂。它的合成路线如下: 

回答下列问题:
(1)在空气中久置,A易被空气中O2氧化而由无色转变为棕色,这与下列物质中的___________(填序号)的性质类似。 
A. B.
 B. C.
 C. D.
 D.
(2)C分子中有2个含氧官能团,分别为_________和_________(填官能团名称)。
(3)由B与CH3CHClCOOH转化成C时,从结构上看,还有另一种无机物生成,则该无机物是_________。
(4)若C不经提纯,产物敌草胺中将混有少量副产物E,E是一种由B和C生成的酯(变化过程中碳原子数未变),推断E的分子式为____________。
(5)已知: ,若以苯酚和乙酸为原料制备
,若以苯酚和乙酸为原料制备 ,其合成路线中应分为__________步变化。
,其合成路线中应分为__________步变化。
 
	参考答案:(1)B 
(2)羟基 ;?醚键 
(3)NaCl 
(4)C23H18O3? 
(5)4
	本题解析:
	本题难度:一般
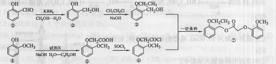
	        4、填空题  (15分)我国化学家于2007年合成了一种新型除草剂,其合成路线如下。

(1)除草剂⑦的分子式为 ?,其分子中的含氧官能团有?(写名称,至少写两种)。
(2)③与⑥生成⑦的反应类型是?,④—⑤转化的另一产物是。HCl,则试剂X是?。
(3)写出同时满足下列条件的物质③的同分异构体的结构简式?(写出一种即可)。
①属于芳香族化合物;②苯环上的一取代物只有两种;③在铜催化下与O2发生反应,其生成物l mol与足量的银氨溶液反应生成4mol Ag
(4)写出②→③的化学方程式?。
(5)卡巴拉丁是老年人认知障碍的重要治疗药物。国外临床试验证明该药物对改善痴呆患者的认知症状及日常活动能力具有一定的作用,且副作用少。请结合上述合成路线及下面所给的反应:

完成以下合成(箭头上写所缺的试剂,方框内写有机物的结构简式):
 
	参考答案:


	本题解析:略
	本题难度:简单
	        5、填空题  (10分)
A是生产某新型工程塑料的基础原料之一,结构简式为:
(1)写出A分子式的_____ ______ 
(2)拟从芳香烃 出发来合成A,其合成路线如下:
出发来合成A,其合成路线如下:
已知:A在酸性条件下水解生成有机物B和甲醇。

(a)写出⑤反应类型__________??(b)写出H的结构简式__________??
(c)已知F分子中含有“—CH2OH”,通过F不能有效、顺利地获得B,其原因是? ________
(d)两分子H之间发生反应生成六元环酯结构简式是:?。
 
	参考答案:

	本题解析:略
	本题难度:一般