微信搜索关注"91考试网"公众号,领30元,获取公务员、事业编、教师等考试资料40G!
1、选择题 琥珀酸乙酯的键线式结构如图所示。下列关于它的说法不正确的是

[? ]
A.琥珀酸乙酯的化学式为C8H14O4
B.琥珀酸乙酯不溶于水
C.1mol琥珀酸与足量NaHCO3反应可生成2mol CO2
D.1mol琥珀酸乙酯在足量NaOH溶液中完全反应可得到2mol乙醇和1mol琥珀酸
2、填空题 (11分)肉桂酸甲酯是一种常用的调制具有水果香味的食用香精。下图是由A合成聚肉桂酸甲酯等有机物的合成信息:
已知:

②F为由两分子D间反应形成含有三个六元环的酯;

请回答下列问题:
(1)D→G的反应类型是________________;G→H的反应类型是________________;
(2)D转化为E的化学方程式是______________________________________________;
(3)下列物质的结构简式:A_______________________________;F________________;
(4)符合以下条件的D的同分异构体有_____种,写出其中一种的结构简式________________。
①苯环上有2种氢,3个取代基; ②能发生银镜反应; ③遇FeCl3溶液显色。
(5)请用合成路线流程图表示
→G的合成线路,并注明反应条件。
提示:①氧化羟基的条件足以氧化有机分子中的碳碳双键;
②合成过程中无机试剂任选;
③合成路线流程图示例如下:
3、选择题 阿斯巴甜(Aspartame)具有清爽的甜味,甜度约为蔗糖的200倍。有关说法不正确的是?

[? ]
A.阿斯巴甜的分子式为C14H18N2O5
B.水解产物中有两种氨基酸
C.阿斯巴甜属于蛋白质
D.阿斯巴甜一定条件下既能与酸反应,又能与碱反应
4、选择题 在酸性条件下,可以水解生成相对分子质量相同的两种物质的有机物是( )
A.蔗糖
B.麦芽糖
C.乙酸乙酯
D.甲酸乙酯
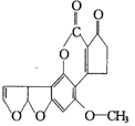
5、选择题 最近,媒体报道不法商贩销售“致癌大米”,已验证这种大米中含有黄曲霉毒素(AFTB),其分子结构式为如图所示,人体的特殊基因在黄曲霉素的作用下会发生突变,有转变为肝癌的可能。一般条件下跟1mol?AFTB起反应的或NaOH的最大量分别是

[? ]
A.6mol;1mol?
B.5mol;1mol
C.6mol;2mol?
D.5mol;2mol