微信搜索关注"91考试网"公众号,领30元,获取公务员、事业编、教师等考试资料40G!
1、选择题 关于苯丙氨酸
下列叙述中,错误的是
[? ]
A.含碳碳双键、羧基、氨基等官能团
B.分子中至少有7个碳原子在同一平面
C.能与酸和碱反应,是一种两性化合物
D.一定条件下可聚合形成高聚物
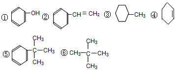
2、填空题 下列有机物中
|
|

(1)属于脂肪烃的是_______________,
(2)属于芳香烃的是______________,
(3)属于苯的同系物的是_______________。
(4)属于脂环烃的是_____________(填序号)
3、选择题 丁香油酚是一种有特殊香味的液体,它的结构简式是
。丁香油酚不具有的性质是
[? ]
A.与金属钠反应
B.与NaOH溶液反应
C.与Na2CO3反应放出CO2
D.能发生加聚反应
4、填空题 (11分)肉桂酸甲酯是一种常用的调制具有水果香味的食用香精。下图是由A合成聚肉桂酸甲酯等有机物的合成信息:
已知:

②F为由两分子D间反应形成含有三个六元环的酯;

请回答下列问题:
(1)D→G的反应类型是________________;G→H的反应类型是________________;
(2)D转化为E的化学方程式是______________________________________________;
(3)下列物质的结构简式:A_______________________________;F________________;
(4)符合以下条件的D的同分异构体有_____种,写出其中一种的结构简式________________。
①苯环上有2种氢,3个取代基; ②能发生银镜反应; ③遇FeCl3溶液显色。
(5)请用合成路线流程图表示
→G的合成线路,并注明反应条件。
提示:①氧化羟基的条件足以氧化有机分子中的碳碳双键;
②合成过程中无机试剂任选;
③合成路线流程图示例如下:
5、选择题 M是一种冶疗艾滋病的新药(结构简式如图),已知M分子中-NH-COO-基团(除H外)与苯环在同一平面内,关于M的以下说法正确的是

[? ]
A.该物质易溶于水
B.M能发生加聚反应
C.M的分子式为C13H12O2NF4
D.M分子内至少有13个碳原子在同一平面内