微信搜索关注"91考试网"公众号,领30元,获取公务员、事业编、教师等考试资料40G!
1、推断题 写出下列叙述中有关物质的结构简式;分子式为C3H7Br的卤代烃经消去反应后得到的有机物是_________________________;能与金属钠反应,但不能与氢氧化钠反应的芳香族化合物C7H8O是___________________;含C、H、O三种元素的有机物,燃烧时消耗的氧气和生成的CO2、H2O之间物质的量之比为
1:2:2,则此类有机物中最简单的一种是________________
参考答案:CH3-CH=CH2;C6H5-CH2OH;HCOOH
本题解析:
本题难度:一般
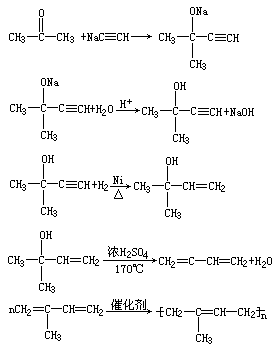
2、计算题 已知乙炔钠(NaC≡CH)在一定条件下可以和某些羰基发生加成反应:

工业上用丙酮为初始原料,通过与乙炔钠等物质反应,可以合成聚异戊二烯,请写出合成的各步反应式。
参考答案:

本题解析:本题考查了应用能力,运用所给信息:乙炔钠(NaC≡CH)在一定条件下可以和某些羰基发生加成反应,加成时乙炔钠中Na原子与羰基氧原子相连—C≡CH与羰基碳原子相连。再结合课本中所学知识可顺利解决:

本题难度:一般
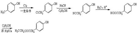
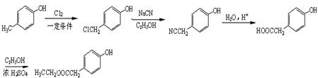
3、推断题 黄酮醋酸(F)具有独特抗癌活性,它的合成路线如下:

已知:RCN在酸性条件下发生水解反应: RCN
?RCOOH
(1)上述路线中A转化为B的反应为取代反应,写出该反应的化学方程式
_____________________________________________________ ____________。
(2)F分子中有3种含氧官能团,名称分别为醚键、_____________和______________。
(3)E在酸性条件下水解的产物可通过缩聚反应生成高分子化合物,该高分子化合物的结构简式为_________________________。
(4)写出2种符合下列条件的D的同分异构体的结构简式_____________、________________。
①分子中有4种化学环境不同的氢原子
②可发生水解反应,且一种水解产物含有酚羟基,另一种水解产物含有醛基。
(5)对羟基苯乙酸乙酯(
)是一种重要的医药中间体。写出以A和乙醇为主要原料制备对羟基苯乙酸乙酯的合成路线流程图(无机试剂任选)。
合成路线流程图请参考如下形式:
参考答案:(1)
(2)羰基;羧基
(3)
?
(4)
?
(5)

本题解析:(1)由所给B的结构简式判断A为对甲基苯酚,所以A转化为B的反应方程式为
;
(2)F中的含氧官能团除醚键外还有羧基、羰基;
(3)E分子中的-CN在酸性条件下水解生成-COOH,与邻位的羟基发生脱水缩合反应,生成高分子化合物,结构简式为
;
(4)可发生水解反应,且一种水解产物含有酚羟基,另一种水解产物含有醛基,说明该分子中有
;且分子中有4种氢原子,说明分子中存在对称结构,所以符合条件的D的同分异构体的结构简式为
(5)以A和乙醇为主要原料制备对羟基苯乙酸乙酯,主要是使A分子通过反应增加1个羧基,根据所给流程图可知卤素原子可以与NaCN、乙醇反应使分子中增加-CN,然后酸性条件下水解得羧基,再与乙醇反应得目标产物,所以第一步应在A分子的甲基上增加卤素原子。流程图如下:
。
本题难度:一般
4、推断题 “化学可以增大地球的土地产粮面积”;以石油产品乙烯为起始原料进行合成高分子化合物F和G,合成路线如图所示:

已知:E的分子式为C4H6O2,F的分子式为(C4H6O2)n(俗名“乳胶”的主要成分),G的分子式为(C2H4O)n(可用于制化学浆糊),2CH2=CH2+2CH3COOH+O2
2C4H6O2(醋酸乙烯酯)+2H2O
又知:与
结构相似的有机物不稳定,发生分子重排生成
请回答下列问题:
(1)写出结构简式:D_______________,F___________________。
(2)反应①、②的反应类型______________、___________________________。
(3)写出下列有关反应的的化学方程式。
A—→B________________________________________________
B—→C _______________________________________________
参考答案:(1)D为CH3COOH,F为
。(2)加成反应、水解反应。
(3)ClCH2CH2Cl+H2O
ClCH2CH2OH+HCl;ClCH2CH2OH+ NaOH
CH3CHO+NaCl+H2O。
本题解析:由图可以推断出A为ClCH2CH2Cl,B为ClCH2CH2OH,C为CH3CHO,D为CH3COOH,F为
所以(1)中,D为CH3COOH,F为
;(2)中,①、②的反应分别为CH2=CH2+Cl2
ClCH2CH2Cl,

?(C2H4O)n+nCH3COOH,故其反应类型分别为加成反应、水解反应;(3)中,A—→B的反应方程式为ClCH2CH2Cl+H2O
ClCH2CH2OH+HCl;B—→C的反应方程式为ClCH2CH2OH+ NaOH
CH3CHO+NaCl+H2O。
点评:该题是一道有机推断题,是高考考查的重点。题中给出的信息量较大,但是相对来说还是比较容易的。
本题难度:困难
5、选择题 已知:含C=C的物质(烯烃)一定条件下能与水发生加成反应,生成醇(含羟基的烃的衍生物);有机物A-D间存在图示的转化关系。下列说法不正确的是

[? ]
A.D结构简式为CH3COOCH2CH3
B.A能使酸性高锰酸钾溶液褪色
C.B与乙酸发生了取代反应
D.可用B萃取碘水中的碘单质
参考答案:D
本题解析:
本题难度:一般