高考省级导航

全国 A安徽 B北京 C重庆 F福建 G广东 广西 甘肃 贵州 H河南 河北 湖南 湖北 黑龙江 海南 J江苏 江西 吉林 L辽宁 N内蒙古 宁夏 Q青海 S山东 山西 陕西 四川 上海 T天津
     X新疆 西藏 Y云南 Z浙江

高考化学高频试题、高中化学题库汇总-压中真题已成为一种习惯

化学基本概念: 物质的组成、性质和分类 化学用语 化学常用计量 溶液和胶体 离子反应 氧化还原反应 化学基本理论: 物质结构和元素周期律 化学反应与能量 化学反应速率和化学平衡 电解质溶液 电化学 常见无机物及其应用: 金属及其化合物 非金属及其化合物 无机综合与推断 物质结构与性质: 原子结构与元素性质 化学键与物质的性质 分子间作用力与物质的性质 有机化合物及其应用: 有机化合物的组成与结构 烃的衍生物 生活中的有机物 高分子化合物 有机合成与推断 化学与生活和技术: 化学与健康 化学与材料的制造、应用 化学与环境保护 化学与资源开发利用 化学与工农业生产 化学实验: 化学实验基础知识 物质的分离、提纯和检验 物质的制备、收集和净化 定量实验 实验方案的设计与评价 化学计算: 溶液浓度计算 pH计算 反应热计算 氧化还原、电化学的计算 反应速率与平衡的有关计算 晶体计算 有机物燃烧规律的计算 认识化学学科: 化学学科的特点 化学史 绿色化学

高考化学试题《分子式、结构式、结构简式、实验式》高频考点巩固(2017年模拟版)(十)
2017-08-01 00:25:27 来源:91考试网 作者:www.91exam.org 【
微信搜索关注"91考试网"公众号,领30元,获取公务员、事业编、教师等考试资料40G!

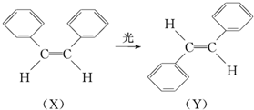
1、选择题  泽维尔证实了光可诱发下列变化:这一事实可用于解释人眼的夜视功能和叶绿素在光合作用中具有极高的光能利用率的原因,下列说法错误的是(  )
A.X和Y互为同分异构体
B.X和Y中的所有原子可能在一个平面上
C.上述变化是一个物理过程
D.X和Y都可能发生加聚反应

91考试网


参考答案:C


本题解析:


本题难度:简单



2、选择题  下列各组物质中互为同系物的一组是
A.CH与CH
B.CH=CH-CH和CH=CH-CH-CH
C.乙烯与聚乙烯
D.


参考答案:B


本题解析:结构相似,分子组成相差若干个CH2原子团的同一类有机物的,互称为同系物,据此可知丙烯和1-丁烯互为同系物,B正确;A中结构不相似,不能互为同系物,A不正确;C中聚乙烯是高分子化合物,和乙烯不是同系物的关系,C不正确;D中结构不同,不是同一类有机物,不能互为同系物,答案选B。
点评:该题是高考中的常见考点,侧重考查学生对同系物含义、判断的了解掌握情况,意在巩固学生的基础,提高学生的应试能力。明确同系物的含义、判断依据是答题的关键。


本题难度:一般



3、选择题  下列有机物中属于苯的同系物的是(?)
A.
B.
C.
D.


参考答案:C


本题解析:本题考查苯的同系物的概念,即苯的同系物必须具备:与苯结构相似——只有一个苯环;分子组成上相差一个或若干个“CH2”原子团。因此苯的同系物中,侧链必须是烷烃基。


本题难度:一般



4、选择题  绿藻的胶质中分离出一种有机化合物(用A表示),结构如图,A对人体无害,可用于新鲜食品中对脂肪酶进行抑制来保持风味,也可外用使伤口快速愈合。则关于该物质的说法不正确的有(?)

A.该物质的化学式为C21H26O6
B.该物质中含有1个手性碳原子
C.1mol该物质最多能消耗5mol H2和含3mol NaOH的溶液反应
D.该物质能发生加成反应、取代反应、氧化反应


参考答案:AB


本题解析:通过复杂有机物的结构考查学生对手性碳原子、与常见无机物的反应的量的关系、以及官能团的性质。有机物的结构与性质的考查重现率答100%,是各地考试的热点。
根据结构简式可以准确判断A选项正确分子式为C21H28O6,B中根据手性碳原子的定义可以判断如图两个碳原子为手性碳;C中能与氢气反应的为三个碳碳双键和一个碳碳三键,与氢氧化钠反应的为3个醇酯基。D中根据常见官能团的性质进行判断。所以答案为AB。


本题难度:一般



5、选择题  某有机物的结构如图所示,关于该有机物的说法不正确的是

A.1mol该有机物最多可与3mol H2发生加成反应
B.能使酸性KMnO4溶液褪色
C.能使石蕊试液变红
D.能发生催化氧化反应


参考答案:A


本题解析:判断有机物的性质,关键是找出有机物中含有的官能团。根据有机物的结构简式可知,分子中含有的官能团有1个碳碳双键、1个羧基和1个醇羟基。所有A是错误的,应该消耗4mol氢气。其余都是正确的,答案是A。


本题难度:一般



】【打印繁体】 【关闭】 【返回顶部
下一篇高考化学试题《大气污染与治理》..

网站客服QQ: 960335752 - 14613519 - 791315772