微信搜索关注"91考试网"公众号,领30元,获取公务员、事业编、教师等考试资料40G!
1、简答题
A、B、C、D为原子序数依次增大的四种短周期元素,其性质或结构信息如下表:

试回答以下问题
(1)B在周期表中的位置是?。B的氢化物与E的氢化物比较,沸点较高的是?(填化学式),在水中溶解度较大的是?(填化学式)
(2)写出D3B与甲反应所得溶液呈?(填“酸性”、“碱性”或“中性”),原因是(用化学方程式表示)?。
(3)写出丙的电子式为?。说明丙的水溶液在放置过程中其酸性会增强的原因(用离子方程式表示)?。
(4)由A、B、C、D四种元素中的三种元素组成的一种盐丁,其外观与氯化钠相似,丁的水溶液呈碱性。可用来鉴别丁和氯化钠的试剂有?
A.氢碘酸和淀粉的混合液? B.AgNO3溶液
C.甲基橙试剂? D.稀硫酸
(5)将光亮的铜丝插入丁溶液中,没有现象发生,如用盐酸酸化,反应迅速发生,铜丝缓慢溶解生成深绿色溶液,写出该反应的离子方程式?。
参考答案:(1)第二周期ⅤA族,NH3,NH3?
(2)碱性,Na3N+3H2O= NH3↑+3NaOH
(3)
,2HClO
2H++2Cl-+ O2↑
(4)AD(2分)?
(5)Cu +2NO2- +4H+ = Cu2+ +2NO↑+2H2O
本题解析:由题意知,钠在空气中燃烧生成淡黄色固体过氧化钠,D为Na;D3B中阴阳离子电子层结构相同可推出D、B分别为Na、N;则A为H、C为O;丙的相对分子质量为87,若丙中含有1个O,则丙为Cl2O;若丙中含有2个O,不合题意;若丙中含有3个O,丙为KO3,但KO3不是气态,所以E为Cl。
(1)N位于第二周期VA族。NH3存在分子间氢键,HCl分子间不存在氢键,NH3的沸点高于HCl;NH3和HCl都是极性分子,都能溶于水,但NH3与水能形成分子间氢键,NH3在水中溶解度大于HCl。
(2)Na3N与H2O生成NaOH与NH3,溶液呈碱性。
(3)Cl2O结构式为Cl-O-Cl,电子式为
。Cl2O与水生成HClO,HClO光照条件下生成盐酸和氧气,溶液酸性增强。
(4)丁为NaNO2。NaNO2能与氢碘酸生成I2,淀粉遇碘变蓝,A正确;亚硝酸钠与氯化钠与硝酸银溶液均生成白色沉淀,B错误;甲基橙变色范围是3.1~4.4,氯化钠溶液与亚硝酸钠溶液遇甲基橙溶液均呈黄色,C错误;亚硝酸钠与稀硫酸生成亚硝酸,亚硝酸分解生成红棕色气体二氧化氮,D正确。
(5)酸性条件下,NO2-具有氧化性,能将Cu氧化生成Cu2+,NO2-本身被还原为NO。
本题难度:一般
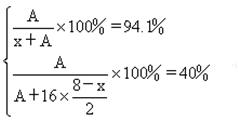
2、计算题 9.6g元素A与4.2g元素B含有相同的原子数,A和B原子核中质子数与中子数相等,已知A元素在其最高价氧化物中的含量是40%,在其氢化物中含量为94.1%。推算出A、B在周期表中的位置。(请写出计算、推理过程)
参考答案:解:设该氢化物为:HxA,该最高价氧化物分子式应该为:A2O8-x


由于9.6g元素A与4.2g元素B含有相同的原子数,设B的原子量为y
A的相对原子质量是32,其中子数与质子数相等,因此质子数为16的是硫元素,在第三周期ⅥA族。?
B的相对原子质量是14,其中子数与质子数相等,因此质子数为7的是氮元素,在第二周期ⅤA族。
本题解析:略
本题难度:一般
3、填空题 (14分)X、Y、Z、D、E、W是原子序数依次递增的短周期主族元素。
(1)Y元素的气态氢化物与其最高价氧化物对应水化物能发生化合反应生成一种盐,该反应的化学方程式为________________________________;Y与氢原子按个数比1:2形成的含18个电子的化合物的电子式为________________。
(2)X、E同主族,纯净的单质E可用于制太阳能电池,则X在周期表中的位置是________________;X与E作电极,同NaOH溶液可构成原电池,则该电池负极的电极反应式为:______________?。
(3)常温常压下,W的单质为气体,且常用于自来水的消毒,W的一种氧化物W2O是酸性氧化物,W2O与水反应的方程式为______________?__________________,W2O的结构式为_____________。
(4)Z、D、E、W同周期,D的简单离子半径是同周期简单离子中半径最小的, D的单质与Z的最高价氧化物对应水化物反应的离子方程式为________________________________。
(5)(XY)2与W2性质相似,则(XY)2分子中含有的化学键有_____________________(填“离子键”、“极性键”或“非极性键”);(XY)2的制备原理同实验室制取W2类似,在酸性条件下用MnO2氧化对应的阴离子得到。写出制取(XY)2的离子方程式________________________________。
参考答案:(1)NH3+HNO3==NH4NO3(1分);
(1分)。
(2)第二周期,第ⅣA族(1分);Si-4e—+6OH—==SiO32—+3H2O? (2分)。
(3)Cl2O+H2O="=2HClO" (2分);Cl—O—Cl(1分)
(4)2Al+2OH—+2H2O==2AlO2—+3H2↑(2分)
(5)极性键,非极性键(2分),
MnO2+4H++2CN—==Mn2++(CN)2+2H2O (2分,(CN)2后面标或不标“↑”都不扣分;写了“△”不扣分)。
本题解析:根据题目中信息可以得到X、Y、Z、D、E、W六种元素分别为C、N、Na、Al、Si、Cl。
(1)Y元素的气态氢化物为NH3,最高价氧化物对应水化物为HNO3,故发生反应为:NH3+HNO3==NH4NO3
(2)C在在周期表中的位置是第二周期,第ⅣA族。C与Si作电极,同NaOH溶液构成原电池时,Si作负极失电子。
(3)Cl 2O是酸性氧化物,与水反应时生成氯元素同一价态的含氧酸。
(5)(CN)2与Cl 2性质相似为拟卤素,实验室中制取Cl 2用MnO2氧化Cl—离子得到,类比既得。
本题难度:一般
4、选择题 现有下列短周期元素性质的数据,下列说法正确的是
?
| ①
| ②
| ③
| ④
| ⑤
| ⑥
| ⑦
| ⑧
|
原子半径(10-10m)
| 0.74
| 1.60
| 1.52
| 1.10
| 0.99
| 1.86
| 0.75
| 0.82
|
最高或最低化合价
| -2
| +2
| +1
| +5;-3
| +7;-1
| +1
| +5; -3
| +3
|
A.⑧号元素为Al?
B.②、③处于同一周期
C.上述八种元素最高价氧化物对应的水化物⑤号酸性最强?
D.④元素的气态氢化物沸点大于⑦元素的氢化物
参考答案:C
本题解析:根据元素的原子半径和主要化合价可知,①~⑧元素分别是O、Mg、Li、P、Cl、Na、B,因此选项AB不正确,C正确。由于氨气分子间差值氢键,所以氨气的沸点高于PH3的沸点,D不正确,答案选C。
点评:该题是高考中的常见题型,属于中等难度的试题。侧重对学生基础知识的巩固与训练,有助于培养学生的逻辑推理能力。本题主要是元素“位、构、性”三者关系的综合考查,比较全面考查学生有关元素推断知识和灵活运用知识的能力。该题以“周期表中元素的推断”为载体,考查学生对元素周期表的熟悉程度及其对表中各元素性质和相应原子结构的周期性递变规律的认识和掌握程度。
本题难度:简单
5、选择题 下列说法正确的是:?
A.P和S属于第三周期元素,P原子半径比S小
B.Na和Rb属于第ⅠA族元素,Rb失电子能力比Na强
C.C和Si属于第ⅣA族元素,SiH4比CH4稳定
D.Cl和Br属于第ⅦA族元素,HClO4酸性比HBrO4弱
参考答案:B
本题解析:同周期越往右,原子半径越小,则应P原子半径比S大,故A错误;
同主族越往下,失电子能力越强,故B正确;
同主族越往下,原子的得电子能力越弱,气态氢化物的稳定性减弱,应CH4比SiH4稳定,故C错误;
同主族越往下,得电子能力越弱,最高价氧化物对应水化物的酸性减弱,应HClO4酸性比HBrO4强,故D错误;
本题难度:一般