微信搜索关注"91考试网"公众号,领30元,获取公务员、事业编、教师等考试资料40G!
1、推断题 已知A是乙烯,B、C、D、E均为常见的有机物,在一定条件下,它们有如下图所示的转化关系。

请回答:
(1)C的结构简式是____________。
(2)能与金属钠反应放出氢气的物质有____________(填字母)。
(3)在图示转化关系中,属于氧化反应的有____________(填序号)。
(4)A、B、C三种物质的摩尔质量由大到小的顺序是____________。
(5)反应⑤的化学方程式是__________________(有机物用结构简式表示)。
参考答案:(1)CH3COOH
(2)BC
(3)③
(4)C>B>A
(5)CH3COOCH2CH3+NaOH
CH3COONa+CH3CH2OH
本题解析:
本题难度:一般
2、填空题 某芳香烃A的分子式为C9H12在光照条件下Br2与A反应得到三种A的一溴代物(B、C、D);铁作催化剂,用Br2与A反应可得到两种A的一溴代物;B和D分别与强碱的醇溶液共热,都只能得到有机化合物E.C与强碱的醇溶液共热不反应,以上反应及B的进一步反应如图所示.
请回答下列问题:
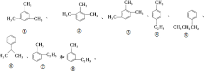
(1)化合物G中含有的官能团的名称为______(除苯环外);化合物G有多种芳香族同分异构体,则与G含有相同官能团且只含有一个甲基的同分异构体的数目为______(包括G本身).
(2)A的结构筒式是______,D的结构简式是______.
(3)写出下列反应的反应类型:B→F______,D→E______.
(4)写出G转化为H的化学反应方程式:______.
(5)1.50g?H与足量NaHCO3作用,可得标准状况下CO2的体积是______mL.
参考答案:芳香烃A的分子式已给出,它的同分异构体有以下8种:

,根据题目所给信息可知A为以上同分异构体中的第④种,因为B和D分别发生消去反应得到的是同一种物质E,所以C的结构简式为

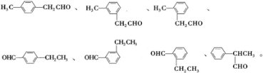
,根据G能发生银镜反应,可知G分子中含有醛基,而醛基是由伯醇氧化得到,所以B和D的结构分别为

和

,G的结构简式为

,与G含有相同官能团且只含有一个甲基的同分异构体有:

共7种,
(1)由以上分析可知G的结构简式为

,含有的官能团为醛基,与G含有相同官能团且只含有一个甲基的同分异构体的数目为7种,
故答案为:醛基;7;
(2)由以上分析可知A的结构筒式是

,D的结构简式是

,故答案为:

;

;
(3)B为

,在NaOH水溶液中发生取代反应生成F,D为

,在NaOH醇溶液加热条件下发生消去反应,
故答案为:取代反应;消去反应;
(4)G的结构简式为

,G转化为H的化学反应方程式为

,
故答案为:

;
(5)H为

,1.50g H的物质的量为0.01mol,与足量NaHCO3作用,可得标准状况下CO20.01mol,体积为224mL,故答案为:224.
本题解析:
本题难度:一般
3、填空题 (13分)、近年来,由于石油价格不断上涨,以煤为原料制备一些化工产品的前景又被看好。下图是以煤为原料生产聚氯乙烯(PVC)和人造羊毛的合成路线。

请回答下列问题:
(1)A的结构中含有三键,写出A的结构式?,
写出B和PVC的结构简式???
(2)写出反应类型?反应①??反应②?。
(3)反应③中C、D两种单体按…CDCDCD…方式加聚,D的结构为CH2=CHOOCCH3,写出C的结构简式?。
(4)写出D与氢氧化钠溶液共热时发生的化学反应方程式?。
参考答案:(本题共13分)
(1)CH≡CH? CH2—CHCl
?(6分)
(2)加成反应?加聚反应?(2分)
(3)H2C=CH—CN (2分)

本题解析:略
本题难度:简单
4、推断题 (1)化合物A(C4H10O)是一种有机溶剂,A可以发生以下变化:

化合物A与氯气反应生成的一氯取代物B只有一种,写出B的结构简式? ; D能与Br2发生加成反应,D的键线式为__? __;由A转化为D的化学方程式为_? __? __。
(2)氢化阿托醛(
)是一种重要的化工原料,1mol氢化阿托醛最多可和______mol氢气加成,1mol氢化阿托醛发生银镜反应可生成__________mol Ag。
(3)氢化阿托醛可以由下列反应制得

F的官能团符号为?;反应①的化学方程式为?。F有多种同分异构体,能满足苯环上有两个取代基,且能使FeCl3溶液显紫色的同分异构体有?种。
参考答案:(1)
;
;
↑+H2O
(2)4;2
(3)-OH;
+NaOH
+NaCl;6
本题解析:
本题难度:一般
5、填空题 某烃类化合物A的质普图表明其相对分子质量为84,红外光谱表明分子中含有碳碳双键,核磁共振氢谱表明分子中只有一种类型的氢。
(1)A的结构简式为_______________________;
(2)A中的碳原子是否都处于同一平面?_________(填“是”或者“不是”);
(3)在下图中,D1、D2互为同分异构体,E1、E2互为同分异构体。

反应②的化学方程式为___________________;C的化学名称是___________________;E2的结构简式是
__________________;④、⑥的反应类型依次是_______________。
参考答案:(1)
(2)是
(3)
;2,3-二甲基-1,3-丁二烯;
;1,4-加成反应、取代反应
本题解析:
本题难度:一般