微信搜索关注"91考试网"公众号,领30元,获取公务员、事业编、教师等考试资料40G!
1、选择题 在核磁共振氢谱图(1H核磁共振谱图)中,只有一个吸收峰的物质是( )
A.CH3CH2OH
B.CH3CH2CH3
C.CH3CH3
D.CH3CHO
参考答案:C
本题解析:
本题难度:一般
2、选择题 下列物质中,互为同分异构体是(?)
A.HCOOCH3和乙酸
B.麦芽糖和纤维素
C.HCOOH和乙醇
D.蔗糖和果糖
参考答案:A
本题解析:分子式相同结构不同的化合物互为同分异构体,所以A正确,其余的分子式都不同,答案选A。
本题难度:一般
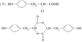
3、填空题 有机物A、B、C、D、E、F的转化关系如下:

已知:①A是芳香族化合物,其苯环上有2个对位取代基,均不含支链,遇FeCl3溶液能发生显色反应。
②F分子中除了2个苯环外,还含有一个六元环。
请回答下列问题:
(1)A中含有________种官能团,A与足量溴水反应的化学方程式是_______________________。
(2)反应①~③中属于加成反应的有________(填序号)。
(3)C的结构简式为________________,F的结构简式为__________________。
(4)A→B的化学方程式是__________________________________________。
参考答案:(1) 3 ?
+3Br2→2HBr+
(2)①
?
(4)
+NaHCO3→H2O+CO2+
本题解析:(1)遇FeCl3溶液能发生显色反应,说明A中含酚羟基,能与碳酸氢钠反应说明含羧基,能与HCl反应,且生成的C比B多2个H原子和1个Cl原子,说明A与HCl发生加成反应,含有1个碳碳双键,所以A中含3种官能团,结构简式为:
;碳碳双键与Br2加成,苯环上羟基2个邻位上的H被Br取代,可写出化学方程式。
(2)反应①为加成反应,反应②为取代反应,反应③为取代反应。
(3)C为A :
?与HCl加成的产物,因为后面的产物F含有六元环,所以Cl连接在与羧基相连的C原子上,结构简式为:
?C经水解、酸化后得到E,2分子E之间发生酯化反应可得F:

(4)A中含有羧基,能与NaHCO3溶液反应生成羧酸盐、CO2和水。
本题难度:困难
4、填空题 A的分子式为C2H6O2,以A为原料,按下图所示流程合成一种常用的光敏高分子材料G,其结构简式为:
。

已知:①—CH2OH+—CH2OH
—CH2OCH2—+H2O
②
+

+H2O
请回答下列问题:
(1)A的名称是?:F—→G的反应类型是 ?
B的核磁共振氢谱上共有?种吸收峰。
C的结构简式是 ?。
A—→B的化学方程式是??。
B+D—→E的化学方程式是 ?。
写出同时满足下列条件的D的所有同分异构体的结构简式:?
?
①属于酯类且苯环上只有一个取代基?②除苯环外不再含其他环状结构
参考答案:(1)乙二醇?加聚反应;(2)3;
(3)
(4)2HOCH2CH2OH
HOCH2CH2OCH2CH2OH+H2O
(5)
+HO(CH2)2O(CH2)2OH
CH=CHCOO(CH2)2O(CH2)2OH+ H2O
(6)(没有)
、
、
、
本题解析:从G产物可知F—→G是加聚反应,F是
CH=CHCOO(CH2)2OCH=CH2,由反应条件可知E是
CH=CHCOO(CH2)2O(CH2)2OH。B是HOCH2CH2OCH2CH2OH,不同的H为3个;由信息①得出A是乙二醇。D为
,由反应条件催化氧化可知C是
(6)因为支链只有一个O原子,没有酯类的同分异构体。
本题难度:困难
5、选择题 下列化合物不属于有机物的是(? )
A.CH3CH2OH
B.CH3COOH
C.
D.CO2
参考答案:D
本题解析:有机物指含碳的化合物,但CO、CO2、H2CO3、碳酸盐、氰化物、硫氰酸盐除外。
本题难度:简单