微信搜索关注"91考试网"公众号,领30元,获取公务员、事业编、教师等考试资料40G!
               
                  
                   
     
      
            1、选择题  下列物质混合后不能生成氢氧化钠的是
A.Ba(OH)2和Na2CO3溶液  
B.Na和H2O
C.KOH和NaCl溶液
D.Na2O2和H2O
 
	参考答案:C
	本题解析:C中两物质不能发生反应,其它均符合离子反应的条件
	本题难度:一般
	        2、选择题  将0.5 mol钠与0.5 mol镁分别加入2 mol·L-1、400 mL的硫酸中,所得溶液的质量是
A.硫酸钠溶液的质量大
B.同样大
C.硫酸镁溶液的质量大
D.无法确定
 
	参考答案:B ?
	本题解析:由反应方程式知,二者均是硫酸过量,
2Na+2H+===2Na++H2↑  Δm
 2 mol? 44 g
 0.5 mol? 11 g
Mg+2H+===Mg2++H2↑  Δm
 1 mol? 22 g
 0.5 mol? 11 g
溶液质量增加相等。充分利用质量差量法(Δm)解有关金属与酸反应所得溶液质量增重问题。
	本题难度:一般
	        3、选择题  将Na2O2投入FeCl3溶液中,对观察到的现象描述准确的是
A.生成白色沉淀
B.生成红褐色沉淀
C.有气泡产生
D.生成红褐色沉淀、有气泡产生
 
	参考答案:B
	本题解析:根据题意知,将Na2O2投入FeCl3溶液中,发生的反应为:2Na2O2+2H2O═4NaOH+O2↑,Fe3+与氢氧化钠反应,3OH-+Fe3+═Fe(OH)3↓,立即生成红褐色的Fe(OH)3沉淀,所以看到的现象是:有大量气泡生成,有红褐色沉淀生成,结合选项知,选B。
	本题难度:一般
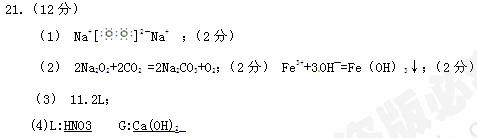
	        4、填空题  (12分)下图是中学常见物质间的转化关系。已知:
①A为淡黄色固体,B为导致“温室效应”的主要物质; ②E为常见金属,J为红褐色沉淀;
③G在实验室中常用于检验B的存在;④L是一种重要的工业原料,常用于制造炸药,浓溶液常呈黄色,储存在棕色瓶中。

回答下列问题: 
(1)A的电子式____________________________________________________。
(2)反应①的化学方程式为?,反应②的离子方程式为?,
(3)若参加反应的A的质量为39g,则消耗CO2的体积(标况下)为?L。
(4)L的化学式?,G的化学式?。
 
	参考答案:

	本题解析:略
	本题难度:一般
	        5、选择题  将2 mol NaHCO3和一定量的Na2O2固体混合,在加热的条件下使其反应,经测定无Na2O2剩余,则最后所得固体的物质的量(n)为(?)
A.1mol<n≤2mol
B.1mol<n≤4mol
C.2mol<n≤4mol
D.n>4mol
 
	参考答案:B
	本题解析:采用极值法进行计算,Na2O2最小值的极限为0,2 mol NaHCO3分解生成1mol Na2CO3;Na2O2最大值为恰好与2mol NaHCO3分解产生的CO2、H2O完全反应,1mol二氧化碳和过氧化钠反应生成1mol碳酸钠,1mol水和过氧化钠反应生成2mol氢氧化钠,再加上2 mol NaHCO3分解生成的1mol Na2CO3,则最后所得固体的物质的量为4mol。故B项正确。
	本题难度:一般