| 高考省级导航 | |
|
|
|
高中地理知识点大全《地壳物质循环及地表形态的塑造》试题强化练习(2017年最新版)(九)
A.岩浆活动 B.地壳运动 C.变质作用 D.外力作用 2、单选题 “海枯石烂”是指外力作用中的( ) 3、单选题 读岩石圈物质循环示意图,回答题。 |
4、单选题 读图. 完成下列各题。
小题1:组成该山体演示的矿物直接来自
A.地表
B.地壳上部
C.地壳下部
D.地幔
小题2:在岩石圈物质循环过程总,该山体演示在地球表层可转换成
A.喷出岩
B.侵入岩
C.沉积岩
D.变质岩
5、单选题 河西走廊某地发现一处面积约100多平方千米,形状特殊的花岗岩地貌(见下图)。该花岗岩岩体表面千疮百孔,形如蜂巢。造成这种“蜂巢”地貌的主要地质作用是(?)
A.流水侵蚀
B.风力侵蚀
C.冰川侵蚀
D.岩浆活动升
1、单选题 读图,完成题。
小题1:下列选项与图中①、②最符合的是
A.风化作用、搬运作用
B.风化作用、内力塑造
C.侵蚀作用、人类活动
D.侵蚀作用、搬运作用
小题2:图中所示地质作用均属于
A.岩浆活动
B.地壳运动
C.变质作用
D.外力作用
参考答案:
小题1:A
小题2:D
本题解析:
小题1:由图中信息可以判断,从岩石到碎屑物主要是风化作用;从残积物到沉积物,主要是搬运作用。正确答案选A。
小题2:图中所示地质作用均属于外力作用,包括风化、侵蚀、搬运、堆积、固结沉岩,正确答案选D。
点评:本题难度较小。要求学生熟练掌握外力作用及主要形式。
流水、风力、冰川等外力作用对地表形态的塑造。
1.外力作用:
(1)能量来源:地球的外部,主要是太阳辐射能
(2)表现形式:主要有风化、侵蚀、搬运、堆积、固积成岩五种方式。
2.主要的外力作用与地形:
分布区
外力作用形式
侵蚀地貌
沉积地貌
主要在湿润、半湿润地区
流水
沟谷、瀑布、峡谷,如黄土高原千沟万壑的地表形态
冲积扇、冲积平原、河口三角洲
干旱地区
风力
风蚀蘑菇、风蚀洼地、黄土高原的形成
沙丘、沙垄
高纬度、高海拔地区
冰川
U谷、冰斗、刃脊、角峰
本题难度:简单
2、单选题 “海枯石烂”是指外力作用中的( )
A.风化作用
B.流水作用
C.搬运作用
D.堆积作用
参考答案:A
本题解析:风化是在外力作用下,岩石发生机械崩解或化学分解,变为松散的碎屑及土壤。
点评:本题难度较小,结合信息与所学知识即可作答。
【知识小结】外力作用形成的地貌:
1 流水侵蚀,如黄土高原的千沟万壑和长江三峡,虎跳峡这样的河流峡谷和云贵高原上的喀斯特地貌
2 风力侵蚀,如西北戈壁的风蚀城堡和风蚀蘑菇
3 流水搬运,如黄河中的泥沙
4 风力搬运,如黄土高原和沙漠的形成
5 流水沉积,如华北平原,长江三角洲等河流冲击平原
6 风力堆积,如黄土高原和沙漠的形成
7 固结作用,如沉入海底的泥沙受到压力,固结成为石灰岩
8 冰川刨蚀,如挪威的峡湾和北美洲五大湖的形成
本题难度:一般
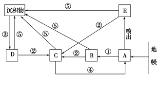
3、单选题 读岩石圈物质循环示意图,回答题。
小题1:图中B、D代表的岩石分别是:
A.侵入型岩浆岩、沉积岩
B.沉积岩、侵入型岩浆岩
C.变质岩、喷出型岩浆岩
D.沉积岩、变质岩
小题2:图中②表示的是:
A.外力作用
B.变质作用
C.上升冷却凝固作用
D.重熔再生作用
小题3:岩石圈的物质循环是自然界重要的物质循环,这个循环过程不能导致的结果是:
A.形成地球上丰富的矿产资源
B.改变地表的形态,塑造出千姿百态的自然景观
C.实现地区之间、圈层之间的物质交换和能量传输,从而改变地表的环境
D.通过大量的输送热能来改变大气运动
参考答案:
小题1:A
小题2:B
小题3:D
本题解析:
小题1:由图可知,图中沉积物通过③作用指向D,则可判断D为沉积岩,③代表外力作用(固结成岩作用);又由图可知,A喷出形成E,则可判断A为岩浆,E为喷出型岩浆岩,B没有喷出地表,来源于岩浆,则B为侵入型岩浆岩。
小题2:组成岩石圈的三大类岩石,D为沉积岩,B为侵入型岩浆岩,E为喷出型岩浆岩,A为岩浆,剩下C只能为变质岩,则指向变质岩的箭头②表示的是变质作用。
小题3:本题考查岩石圈物质循环的意义。岩石圈的物质循环是自然界重要的物质循环,不会改变大气运动,故D不对。其意义主要体现在以下几个方面:
(1)形成了地球上丰富的矿产资源。
(2)改变了地形,塑造出了千姿百态的地貌景观。
(3)实现了地区之间、圈层之间的物质交换和能量传输。
(4)改变了地表的环境。
点评:本题难度较小,解答本题的关键是找突破口,如图中的“沉积物”、“喷出”等关键字眼。另外学生还需明确:地球内部的岩浆因地壳运动有的停留在地下缓慢冷却凝固而形成侵入岩,有的喷出地表迅速冷却凝固形成喷出岩,岩浆岩受到流水、风、冰川、海浪的侵蚀、搬运、堆积作用,形成沉积物,沉积物经过地壳凹陷,固结成岩,成为沉积岩。同时,这些已生成的岩石,在一定温度和压力下发生变质形成变质岩。在喷出岩的形成过程中,地面有时会发生火山活动和地震,它们都是地球内能的释放形式。
本题难度:一般
4、单选题 读图. 完成下列各题。
小题1:组成该山体演示的矿物直接来自
A.地表
B.地壳上部
C.地壳下部
D.地幔
小题2:在岩石圈物质循环过程总,该山体演示在地球表层可转换成
A.喷出岩
B.侵入岩
C.沉积岩
D.变质岩
参考答案:
小题1:D
小题1:C
本题解析:
小题1:据图可知演示的是火山喷发,火山喷发物包括岩浆、碎屑物质和气体,这些物质均来自上地幔中的软流层。故选D。
小题2:抓住“表层”和“转化”,岩浆岩可转化为沉积岩(地表)和变质岩(地下),这道题学生容易忽略“地球表层”而错选变质岩或者直接看成火山喷发物应该形成喷出岩。故选C。
本题难度:一般
5、单选题 河西走廊某地发现一处面积约100多平方千米,形状特殊的花岗岩地貌(见下图)。该花岗岩岩体表面千疮百孔,形如蜂巢。造成这种“蜂巢”地貌的主要地质作用是(?)
A.流水侵蚀
B.风力侵蚀
C.冰川侵蚀
D.岩浆活动升
参考答案:B
本题解析:河西走廊地区气候干燥,多大风,地表物质疏松,所以风力的侵蚀作用强,使花岗岩岩体表面千疮百孔,形如蜂巢。故选B。
本题难度:一般
| 【大 中 小】【打印】 【繁体】 【关闭】 【返回顶部】 | |
| 下一篇:高考地理知识点总结《生产活动与.. | |