| 高考省级导航 | |
|
|
|
高考地理知识点总结《人口增长与人口问题》考点特训(2017年冲刺版)(十)
A.自然环境 B.政治 C.社会经济 D.军事 参考答案: 本题解析: 本题难度:一般 2、单选题 中印两国都是人口大国,读下列资料回答问题 |
参考答案:
小题1:D?
小题2:B
本题解析:本题考查人口问题。
小题1:由于印度为世界第二人口大国,人口数量已经超过10亿,且没有采用一定的控制人口增长的措施,故人口增长快,故导致了该过人口、资源、环境问题日益突出。故D项错误。
小题2:印度人口的出生率高、死亡率低,故自然增长率高,判断人口增长模式为传统型。
本题难度:一般
3、单选题 读“合肥市人口自然变动阶段差异示意图”,回答下列各题。
小题1:下列各阶段中,人口总增长最多的是
A.1949~1952年
B.1958~1963年
C.1964~1976年
D.1986~1990年
小题2:有关合肥市各阶段人口变动的正确叙述是
A.1949~1952年属于低增长现代型人口增长模式
B.1953~1957年自然增长率和自然增长人数均最高
C.1958~1963年经济快速发展,人口迁入增长较大
D.1986~1990年受60年代人口高峰影响生育率较高
参考答案:
小题1:C
小题2:D
本题解析:
小题1:根据图示的人口自然增长和自然增长占人口增长总数之比,可直接计算各个时期的总人口增长数量,即人口总增长=人口自然增长/自然增长占人口增长总数之比。
小题2:结合我国的人口增长基本概况并结合图示信息判断,1949年到1952年的人口自然增长率约10‰,自然增长率较低,但不属于现代型的人口增长模式,A错误;材料显示人口自然增长人数最高为1964—1976年,B错误;1958—1963为我国的三年自然灾害时期,经济发展缓慢,C错误;材料显示1986—1990年的人口自然增长率较前一阶段高,主要受人口增长惯性60年代的人口生育高峰影响,D项正确。
点评:本题难度一般,学生只要抓住图示和表示的基本信息,掌握人口自然增长、人口自然增长占人口总增长之比和人口总增长之间的关系,并能结合我国建国后的人口增长基本特征等内容综合分析即可。
本题难度:简单
4、综合题 读材料,回答问题。(8分)
材料一?根据国家统计局2008年2月28日发布的“2007年国民经济和社会发展统计
公报”,2007年末全国总人口为132129万人,比上年末增加681万人。出生率为12.10‰,
死亡率为6.93‰,自然增长率为5.17‰。
材料二
(1)在各大洲中,出生率最高的是_________,自然增长率最低的是_________。
(2)根据材料一判断,我国人口增长已进入第_____阶段,其特点表现为 ?出生率、
?死亡率、?自然增长率。(填高或低)
(3)从人口方面看,我国存在人口数量??、人口素质?、人口结构不合
理、人均资源占用量少等问题,严重制约了中国的可持续发展。
参考答案:
(1)非洲?欧洲
(2) 四?低?低?低
(3)多?低
本题解析:本题考查人口增长。
(1)利用图例读图即可。
(2)根据出生率为12.10‰,死亡率为6.93‰,自然增长率为5.17‰(注意是千分符合),
判断为“低—低—低”模式,为图15中的第四阶段。
(3)我国的人口问题:数量多(13亿总人口),素质低(发展中国家,教育还不发达。)、
人口结构不合理、增长快等问题。
本题难度:一般
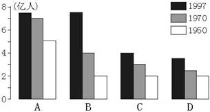
5、综合题 读“1950~1997年部分大洲人口增长图”和“1997年部分大洲人口再生产表”回答(10分)
1997年部分大洲人口再生产表
| 大洲 | 出生率(%) | 死亡率(%) | 自然增长率(%) |
| E | 4.0 | 1.4 | 2.6 |
| F | 1.0 | 1.2 | -0.2 |
| G | 2.5 | 0.7 | 1. 8 |
| H | 1.5 | 0.9 | 0.6 |
参考答案:(1)二战后发展中国家取得政治上的独立,民族经济的发展,医疗卫生事业的进步,人口死亡率下降4分
(2)现代型?鼓励生育, 适当移民? 3分
(3)人口增长过快?控制人口数量(实行计划生育),提高人口素质? 3分
本题解析:(1)根据图表信息可知,E国的人口增长模式是传统型模式,主要在发展中国家,从国家政治经济发展,医疗卫生发展等影响出生率和死亡率。从而影响人口增长快慢。(2)根据图中可知可知,人口出现负增长,人口增长模式属于现代型。人口问题是老龄化严重,劳动力短缺等。所以要鼓励生育, 适当移民。增加人口。(3)根据图中信息可知,B国人口增长快,对社会经济、环境的压力大。所以要控制人口增长。
本题难度:一般
| 【大 中 小】【打印】 【繁体】 【关闭】 【返回顶部】 | |
| 下一篇:高考地理答题技巧《大气运动》考.. | |