| 高考省级导航 | |
|
|
|
高中地理知识点总结大全《地壳物质循环及地表形态的塑造》答题技巧(2019年最新版)(一)
A.沉积岩、岩浆岩 B.岩浆岩、变质岩 C.变质岩、沉积岩 D.岩浆岩、沉积岩 |
2、单选题 读图“某地区地质构造剖面示意图”,回答小题。
【小题1】下列地理事物与图中④处的地质构造在形成原因上相似的是( )
A.渭河谷地
B.长江三峡
C.泰山
D.庐山
【小题2】图中c地层为含水层,a、b、d各地层为隔水层,因此在_____ 处打井较有可能获得丰富的地下水。( )
A.①
B.②
C.③
D.④
3、单选题 关于沉积岩不同种类的成因,叙述正确的是
A.由细粒黏土固结而成的是页岩
B.由沙砾组成的是砾岩
C.由化学沉积而成的是砂岩
D.砂岩主要是由生物沉积而成
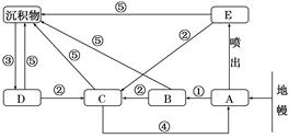
4、单选题 下图为岩石圈物质循环示意图,读图回答题。
小题1:图中B、D代表的岩石分别是( )
A.侵入型岩浆岩、沉积岩
B.沉积岩、侵入型岩浆岩
C.变质岩、喷出型岩浆岩
D.沉积岩、变质岩
小题2:图中②表示的是( )
A.外力作用
B.变质作用
C.上升、冷却凝固
D.重熔再生
5、单选题 下图示意某河谷断面经历的一次洪水过程。读图回答下列各题。
【小题1】从该河谷断面可以看出( )
A.所在区域可能存在喀斯特地貌
B.岩层②比岩层①易受侵蚀
C.是长期受外力侵蚀形成的向斜谷
D.宜修建水库调蓄水量
【小题2】本次洪水过程中( )
A.水位上升时,河流搬运作用减弱
B.水位下降时,河流含沙量增加
C.流量增大时,河流堆积作用增强
D.河流侵蚀作用使河床加宽变深
| 【大 中 小】【打印】 【繁体】 【关闭】 【返回顶部】 | |
| 下一篇:高中地理知识点总结大全《大气的.. | |