1、单选题 造成埃及狮身人面像缺损严重的主要自然原因是
[? ]
A.河流侵蚀作用
B.风化和风力侵蚀作用
C.喀斯特作用
D.海蚀作用
2、综合题 我国某校“环球探险社团”在暑期进行了网上模拟探险活动,下图表示探险区域和探险路线,读图回答下列各题。(11分)

(1)纬度接近的A 、B两地,B地自然带为 ,A为 ,A区域自然带形成的主导因素是 。由B向E方向的自然带分异规律是 (4分)
(2)探险社团经过F(沿海)时,当地的气候特征为 ,成因是 。(2分)
(3)坐船航行途径D海域时,此过程中出现的现象有 。(双选)(2分)
A. 轮船顺风顺水 B. 轮船逆风逆水
C. 白昼越来越长 D. 太阳从东偏北方向升起
(4)下图中最有可能在E地拍摄的照片是 ,该地貌景观形成的主要地质作用是 。C景观的形成原因是 (3分)

3、综合题 结合图文材料,回答下列问题。
材料一:北京时间2010年8月2日,以广东丹霞山为首的“中国丹霞”申遗成功,成为中国的第八项世界自然遗产。
材料二:下图为丹霞地貌和“中国丹霞”六个风景区所在区域图。
(1)分别指出六个丹霞地貌风景区所位于的省区:①(赤水)__________、②(良山)__________、 ③(丹霞山)________、④(龙虎山)________、 ⑤(泰宁)________、⑥(江郎山)________。
(2)六个风景区所在省份的主要地形区有____________、____________、____________。
(3)红色砂砾岩在三大类岩石中属于岩,图示地区的红色砂砾岩发育成丹霞地貌所经受的外力作用主要是________________(写出两种外力作用即可)。
(4)赤水成为贵州省继荔波“中国喀斯特”之后的第二个世界自然遗产地,试分析贵州岩溶地貌发育的条件。
___________________________________________________________________________________________
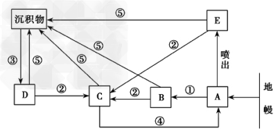
4、单选题 读岩石圈物质循环示意图,回答1~2题。

1.图中B、D代表的岩石分别是
[?]
A.侵入型岩浆岩、沉积岩?
B.沉积岩、侵入型岩浆岩?
C.变质岩、喷出型岩浆岩?
D.沉积岩、变质岩
2.图中②表示的是
[?]
A.外力作用?
B.变质作用?
C.上升、冷却凝固作用?
D.高温熔化作用
5、单选题 .印度和巴基斯坦从地壳板块分布上来说,位于?
A.太平洋板块
B.亚欧板块
C.印度洋板块
D.美洲板块