1、综合题 读下列材料并结合所学知识完成下列问题。(26分)
材料一:世界部分区域图。
材料二: 最近几年发达国家在东南亚地区一些国家进行产业转移,工业产业链环节上的分工情况
如下图所示。


产业链分工示意图
(1)苏门答腊岛的气候类型是 ,成因是 ,自然带是 (6分)
(2)苏门答腊岛的地形地势特征是 ,聚落的分布特点是 ,(6分)
(3)材料一中A所在海域是台风主要源地之一,当台风中心位于A地时,B城市风向为 风。城市雅加达所在国有火山国之称,其多火山和地震的原因是 。(4分)
(4)C是一条国际性河流,该河流量季节变化与年际变化均 ,原因是 。(4分)
(5)东南亚和多数发展中国家一样,在世界产业分工中处于不利地位,要改变此状况的主要措施有哪些?(6分)
参考答案:
(1)热带雨林气候 终年受赤道低压带控制,盛行上升气流 热带雨林带(6分,每空2分)
(2)西(南)部为山地(多火山),东(北)部为平原(多沼泽) (2分);地势西南高东北低(2分) 沿海、沿河流分布(2分)
(3)西北 位于板块交界处,地壳不稳定(4分,每空2分)
(4)大(2分) 季风气候区,降水季节和年际变化大(2分)
(5)加强自主创新,掌握核心技术;产业结构调整与升级,大力发展高端加工业与第三产业(如服务业);树立品牌意识;加强市场营销,占领国际市场。(6分,每点2分答案言之合理可酌情给分)
本题解析:
(1)读图可知,苏门答腊岛的纬度为0°N,经度为100°E附近,故当地为热带雨林气候,而热带雨林气候的形成原因是常年终年受赤道低压带控制,盛行上升气流;其对应的自然带即为热带雨林带。
(2)某地地形地势特征答题时:要答出主要地形及分布、地势哪里高哪里低。由图可知图中有火山和沼泽的分布,而且火山分布在图中西部,沼泽分布在图中东部,由河流的流向可知为自西南向东北流,故地势为地势西南高东北低;图中城市和村镇有的分布在沿海有的沿河,故聚落的分布特点是沿海、沿河流分布。
(3)当台风中心位于A地时,B地刚好在台风中心的正西方,故此时B城市风向为西北风;火山和地震多的原因与板块交界地带有关,而当地位于位于板块交界处,地壳不稳定。
(4)C河主要流经了东南亚地区,而河流的流量变化与当地的气候类型有关,东南亚主要是热带季风气候,热带季风气候的降水有季节变化和年际变化大的特点,这样导致该河流量季节变化与年际变化均大。
(5)发展中国家经济落后,发展工业主要是附加值低的工业,而且出口的是初级产品和原材料为主,要改变状况必须向发达国家学习,发达国家主要发展的是高附加值的产业,故要从品牌、高技术、第三产业、市场等方面答题。
考点:世界地理某个区域的自然和人文特征。
本题难度:一般
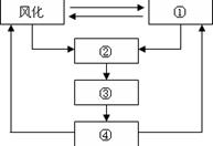
2、单选题 下图是五种外力作用相互联系、相互影响的示意图。读图完成1~2题。

小题1:沙尘暴、泥石流属于哪种外力作用
A.①
B.②
C.③
D.④