| 高考省级导航 | |
|
|
|
高考地理必备知识点《地壳物质循环及地表形态的塑造》试题预测(2019年最新版)(十)
A.流水侵蚀、风力侵蚀 B.流水堆积、风力侵蚀 C.流水堆积、风力堆积 D.风力侵蚀、风力堆积 |
参考答案:
【小题1】C
【小题2】D
本题解析:
【小题1】雅丹地貌为外力侵蚀作用形成,沙丘地貌为外力堆积形成,二者均为外力作用;天山山脉为板块挤压地壳上升而成,吐鲁番盆地为地壳下陷而成,所以C项符合。
【小题2】新疆位于我国西北地区,深居内陆,距海远,降水少,外力作用以风力为主,雅丹地貌为风力侵蚀形成,沙丘地貌为风力沉积作用形成,应选D项。
考点:地貌成因及分类
本题难度:一般
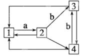
2、单选题 下面为“地壳物质循环简略示意图”,分析完成下列各题。
【小题1】1代表的地壳物质是( )
A.岩浆岩
B.沉积岩
C.变质岩
D.岩浆
【小题2】2代表的地壳物质是( )
A.岩浆岩
B.沉积岩
C.变质岩
D.岩浆
【小题3】如果3代表的是沉积岩,则指向3的箭头b代表的是( )
A.上升冷却凝固
B.外力作用
C.变质作用
D.重熔再生
参考答案:
【小题1】D
【小题2】A
【小题3】B
本题解析:
【小题1】1代表的地壳物质可以有2、3、4物质转化过来,而1物质只能转化为2物质,由此判断1为岩浆。
【小题2】由上题可知1物质为岩浆,2物质有岩浆直接形成,为岩浆岩,故A正确。
【小题3】如果3代表的是沉积岩,则4物质为变质岩,指向3的箭头b是由变质岩变为沉积岩,需外力作用,故B正确。
考点:地壳的物质循环。
本题难度:一般
3、综合题 材料一 下图示意我国39°N附近某区域。甲、乙、丙、丁四河段均为M河一部分。
材料二 下图为M河段地形剖面示意图
材料三 近年来该地区为克服自然条件对种植春小麦的不利影响,采取覆盖免耕技术,即收割时留茬20 cm左右,收割后将秸秆均匀撒在地表,次年春播时采用免耕播种机播种,使春小麦产量和质量显著提高.
(1)分析乙地形成鹅卵石堆积区的主要原因。(6分)
(2)试解释M河乙丁河段为时令河的原因。(8分)
(3)分析秸秆覆盖对春小麦生长自然条件的改善作用.(8分)
参考答案:
(1)(6分)冲积扇(洪积扇)(2分)在甲河段,地势陡峭,流速快,携带了大量砾石和泥沙(2分);当水流流到乙河段,地势趋于平缓,河道变得开阔,水流速度减慢(2分),河流搬运的物质逐渐堆积,形成冲(洪)积扇(2分)。
(2)(8分)M河地处西北内陆地区,河流以高山冰雪融水补给为主(2分);夏季气温高,冰雪融水量大,乙、丁河段径流量较大(2分);冬季气温低,河流径流量小(2分),乙河段因位于冲积扇上,下渗量大,导致断流,成为时令河(2分);丁河段因地处河流下游,下渗、蒸发严重(2分),加上中、上游地区过度引水(2分),导致河流断流,成为时令河。
(3)(8分)增加地表粗糙度,削减风力,减少土壤侵蚀;保留冬季积雪,减少蒸发,改善土壤水分条件;秸秆覆盖,提高土壤温度,减轻春季冻害;抑制土壤盐碱化发展;秸秆还田,增加土壤肥力;(每点3分,任答四点)
本题解析:
(1)根据等高线判断,河流由甲流向乙。在甲河段,等高线密集,说明地势陡峭,流速快,河流携带了大量砾石和泥沙。当水流流到乙河段,地势趋于平缓,河道变得开阔,水流速度减慢,颗粒较大的鹅卵石先堆积。颗粒较小的沙土物质被携带到下游,形成了图示的鹅卵石堆积地貌。
(2)该地位于我国,有时令河,结合海拔高度分析,M河地处西北内陆地区,河流以高山冰雪融水补给为主。夏季气温高,冰雪融水量大,乙、丁河段径流量较大。冬季气温低,河流径流量小,乙河段因位于冲积扇上,下渗量大,导致断流,成为时令河。丁河段因地处河流下游,下渗、蒸发严重,加上中、上游地区过度引水,导致河流断流,成为时令河。
(3)根据材料三,收割时留茬,可以增加地表粗糙度,削减风力,减少土壤侵蚀。有利于保留冬季积雪,减少蒸发,改善土壤水分条件。秸秆覆盖,提高土壤温度,减轻春季冻害。覆盖减少了蒸发,可抑制土壤盐碱化发展。秸秆还田,减少了营养元素的损失,可增加土壤肥力,有利于小麦生长。
考点:山麓冲积扇的构造特征及形成原因,时令河的成因,免耕直播的作用。
本题难度:一般
4、单选题 荡山位于中国浙江省温州市乐清市境内,现代地质学研究表明,雁荡山是一座具有世界意义的典型的白垩纪流纹岩古火山。左图为地壳物质循环示意简图,右图为雁荡山峡谷景观图,据此完成下列问题。
【小题1】图中可以表示雁荡山山体岩石类型的是( )
A.甲
B.乙
C.丙
D.丁
【小题2】形成图示峡谷景观的地质作用是( )
A.①
B.②
C.③
D.④
参考答案:
【小题1】B
【小题2】D
本题解析:
【小题1】由题干可知雁荡山是流纹岩古火山,岩石类型应当是岩浆岩;根据地壳物质循环过程可知,左图中“丁一进一出”应当是岩浆,那么甲是变质岩,乙是岩浆岩,丙是沉积岩,故选项B正确。
【小题2】峡谷景观一般是流水侵蚀切割形成的;结合上题中甲乙丙丁所代表岩石类型可以推断:图中①是重熔再生,形成岩浆丁;②是冷却凝固,形成乙岩浆岩;③是变质作用,形成甲变质岩;④是风化、侵蚀、搬运、沉积、固结成岩等外力作用,故选项D正确。
考点:本题考查地壳物质循环、地质作用。
本题难度:一般
5、单选题 读图回答:④处的地质构造是
A.山岭
B.谷地
C.褶皱
D.断层
参考答案:D
本题解析:本题考查地质构造。④处岩层发生断裂,故判断为断层。
本题难度:一般
| 【大 中 小】【打印】 【繁体】 【关闭】 【返回顶部】 | |
| 下一篇:高中地理知识点总结大全《太阳对.. | |