微信搜索关注"91考试网"公众号,领30元,获取公务员、事业编、教师等考试资料40G!
1、单选题 图为2000~2008年我国东部某市人口增长率变动图,读图回答1-2题。

1.该时段内,该市人口总量最大的年份是
[? ]
A.2003年?
B.2005年?
C.2007年?
D.2008年
2.2004年后人口机械增长率开始明显下降的原因是该市
[? ]
A.人口自然增长率提高?
B.产业转移和升级
C.出现逆城市化?
D.城市居住用地紧张
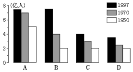
2、综合题 读“1950~1997年部分大洲人口增长图”和“1997年部分大洲人口再生产表”,回答下列问题。

1997年部分大洲人口再生产表

(1)将图表中的字母填入相应的大洲名称后面。
? 非洲______、______,北美______、______,欧洲______、______,拉美______、______。
(2)由图可知,近几十年来,E洲______国家人口增长很快,这是因为_____________________________
? ________________的缘故。
(3)二战后,F洲______国家人口增长缓慢,这是由于____________________________等原因引起的。
(4)E洲的人口问题主要是____________________,应采取的对策是___________________________。
(5)F洲的人口问题主要是_______________________,应采取的对策是__________________________。
3、单选题 下图是“某地区1950 ~1980 年人口增长图”,据图回答1-2 题。

1.30年间该地区
[?]
A.乡村人口增长了2000万人
B.城市人口增长了500万人
C.总人口增长了两倍
D.乡村人口增长了两倍
2.30年间该城市,城市化水平
[?]
A.大幅提高
B.略有提高
C.没有变化
D.略有下降
4、单选题 下图是“我国总人口、劳动年龄人口及人口抚养比变化图”,人口抚养比是指每 100名劳动年龄人口负担的非劳动年龄人口数,读图回答1~2题。

1、图中表示我国总人口、劳动年龄人口及人口抚养比曲线分别是
[? ]
A、①②③
B、①③②
C、③②①
D、②①③
2、下列有关叙述,正确的是
[? ]
A、2020年后我国的环境压力继续增大
B、2012年左右我国社会负担将达到最大
C、我国劳动力总数与人口总数同比例增加
D、2025年后我国人口抚养比提高主要是由于人口老龄化导致
5、单选题 下表为我国某城市人口资料。读下表完成1—2题。

1、该城市自1982年至2000年
[? ]
A.人口自然增长率很高,人口增长迅速
B.人口出生率增高,人口老龄化问题得到缓解
C.人口出生率大幅度降低,人口死亡率大幅度增高
D.人口增长率很高,有大量青壮年人口迁入
2、该城市是
[? ]
A.南京
B.深圳
C.西安
D.沈阳