高考省级导航

全国 A安徽 B北京 C重庆 F福建 G广东 广西 甘肃 贵州 H河南 河北 湖南 湖北 黑龙江 海南 J江苏 江西 吉林 L辽宁 N内蒙古 宁夏 Q青海 S山东 山西 陕西 四川 上海 T天津
     X新疆 西藏 Y云南 Z浙江

高考地理高频试题、高中地理题库汇总-压中真题已成为一种习惯

地球与地图 地球 地图: 地图的基本知识 等值线图 宇宙中的地球 宇宙环境: 地球是太阳系中 太阳对地球的影响 地球运动及其地理意义: 地球运动的地理意义 地球的圈层结构 宇宙探测 人类认识的宇宙 物质运动和能量交换 地壳物质循环 内力作用与地貌 大气的热状况 大气受热过程 大气运动 全球气压带 常见的天气系统 气候类型及其判断 大气的圈层结构 水的运动 陆地上水体 世界洋流分布 水资源利用 整体性和差异性 自然环境 地理环境的整体性: 自然地理要素 地域分异规律 陆地自然带 自然对人类影响 地表形态对聚落及交通 全球气候变化 资源对人类生存: 自然资源的分布和利用 自然灾害发生 人口与城市 人口与地理环境: 人口增长与人口问题 人口迁移 人口分布 人口性别 城市与地理环境: 城市的空间结构 城市化的过程和特点 城市的区位因素 地域文化 生产活动 农业生产活动 农业区位因素 农业地域类型 工业生产 工业区位因素 传统工业区和新兴工业区 交通运输 现代交通运输方式 交通运输线路 交通运输布局 城市交通的特点 商业中心和国际贸易 区域可持续发展 区域工业化 区域农业生产 人类与地理环境 人地关系思想 主要环境问题 可持续发展 区域地理环境 地理信息技术的应用 遥感(RS) 全球定位系统 地理信息系统 区域生态环境的建设 荒漠化的防治 水土流失的治理 森林的开发和保护 区域地理 世界地理 世界分区地理 中国地理 中国地理概况 中国的河流和湖泊 中国的农业和工业 中国的天气和气候 中国的自然资源 中国区域差异 东部季风区 国土整治 选修部分 宇宙与地球 太阳系和地月系 海洋地理 海洋和海岸带 海洋环境问题 海洋开发 海洋权益 旅游地理 旅游活动设计 旅游景观的欣赏 旅游与区域发展 旅游资源的类型与分布 旅游资源的综合评价 文化景观 文明旅游 城乡规划 自然灾害与防治 自然灾害与环境 主要自然灾害 自然灾害 防灾与减灾 环境保护 资源问题 生态环境保护 生态问题 环境污染与防治 环境与环境问题 环境管理 环境与发展问题 地理信息技术应用 3S技术综合应用 地图与遥感 综合专题

高考地理知识大全《地壳物质循环及地表形态的塑造》高频试题巩固(2017年最新版)(一)
2017-03-06 01:28:40 来源:91考试网 作者:www.91exam.org 【
微信搜索关注"91考试网"公众号,领30元,获取公务员、事业编、教师等考试资料40G!

1、单选题  读A、B、C三幅图,回答下题。

下列说法正确的是      (  )
A.若A图表示北半球,则河口的岛屿将可能与南侧的河岸连接起来   
B.B图的盛行风向为西风
C.C图地貌形成是岩石长时间受到外力侵蚀的结果    
D. C图地质构造适合储存石油、天然气



2、单选题  下图为“我国东南沿海侵蚀海岸分布图”,回答下列各题。

小题1:台湾岛东岸受,较西岸严重,主要原因是东岸(?)
A.海平面上升
B.风浪大
C.降水量大
D.河流输沙量大

小题2: 图中所示的沿岸寒流受盛行风影响,其最强盛的时段是(?)
A.3~5月
B.6~8月
C.9~11月
D.12~2月



3、单选题  我国黄土高原形成千沟万壑地表形态的主要原因是
? ①黄土土质疏松 ②植被破坏严重 ③地面起伏明显 ④流水侵蚀严重
[? ]
A、①②③
B、①②④
C、②③④
D、①③④



4、单选题  形成下列两地貌的外力作用是

A.风化作用
B.侵蚀作用
C.搬运作用
D.堆积作用



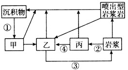
5、单选题  下图为地壳物质循环示意图,①②③④表示各类地质作用。据此下列叙述正确的是

[? ]
A、石英岩属于乙类岩石
B、甲、丙类岩石具有层理构造并含有化石
C、褶皱形成与①有关
D、②③④属于外力作用



Tags:高考 地理 地壳物质循环及地表形态的塑造 题库 知识点 汇总 高中
】【打印繁体】 【关闭】 【返回顶部
下一篇高考地理知识大全《水的运动》考..

网站客服QQ: 960335752 - 14613519 - 791315772