|
高中地理知识点总结《人口增长与人口问题》试题预测(2017年最新版)(十)
2017-08-07 10:50:37
来源:91考试网
作者:www.91exam.org 【 大 中 小】
|
微信搜索关注"91考试网"公众号,领30元,获取公务员、事业编、教师等考试资料40G!
1、单选题 下图为甲 、乙两地的人口增长模式,读图回答下列各题。
 小题1:图中甲的人口增长模式是 A.高-高-高 B.高-高-低 C.高-低-高 D.低-低-低
| 小题2:关于图中乙地说法正确的是 A.乙地城市化水平高 B.乙地城市化发展速度快 C.人口迁出大于迁入,增长率低 D.由于环境污染,自然灾害频繁死亡率高
参考答案: 小题1:D 小题2:A
本题解析: 小题1:原始型出生率和死亡率都在3%以上,传统型死亡率接近2%,现代型死亡率都在1%左右,出生率在1.5%以下,根据图中数据,出生率、死亡率都很低,所以甲的人口增长模式为现代型,选项D正确。 小题2:从出生率和死亡率的数据可知,乙地人口的增长模式为现代型,说明城市化水平高,出现逆城市化现象,城市化发展速度慢;该地经济发达,人口以迁入为主;环境条件优越,但由于老龄化严重会导致死亡率上升。选项A正确。
本题难度:一般
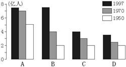
2、综合题 读“1950~1997年部分大洲人口增长图”和“1997年部分大洲人口再生产表”,回答下列问题。(6分)
 1997年部分大洲人口再生产表
大洲
| 出生率(%)
| 死亡率(%)
| 自然增长率(%)
| E
| 4.0
| 1.4
| 2.6
| F
| 1.0
| 1.2
| -0.2
| G
| 2.5
| 0.7
| 1. 8
| H
| 1.5
| 0.9
| 0.6
| (1)将图表中的字母填入相应的大洲名称后面。非洲______、______,北美______、______,欧洲______、______,拉美______、______。(1分) (2)由图可知,近几十年来,国家人口增长很快,这是因为_______________________的缘故。(1分) (3)E洲的人口问题主要是__________,应采取的对策是____________________。(2分) (4)F洲的人口问题主要是__________,应采取的对策是____________________。(2分)
参考答案:(6分) (1)B? E? D? H? A? F? C? G (1分) (2)发展中国家独立,经济迅速发展,医疗卫生事业进步(1分) (3)人口增长过快 (1分) 实行计划生育。(1分) (4)人口增长缓慢,人口老龄化?(1分)鼓励生育或接纳外来移民(1分)
本题解析:略
本题难度:简单
3、单选题 下列国家人口增长属于现代人口增长模式的是? (? ) ①日本②美国③印度④巴西⑤德国⑥埃及 A.①②③ B.④⑤⑥ C.①③④ D.①②⑤
参考答案:D
本题解析: 本题考查世界人口增长模式。目前发达国家人口增长正处于现代型,大部分的发展中国家属于过渡型。日本、美国、德国属于发达国家,人口增长为现代型。所以本题选择D选项。
本题难度:简单
4、单选题 下图表示我国四次人口普查的年龄构成状况,读图回答题。
 小题1:图示中a点对应的0——14岁人口比重约为(?) A、16.6%? B 42%? C 70%? D 5% 小题2:图中四点分别表示第三次、第四次、第五次和第六次人口普查数据,则四点按时间顺序排列正确的是(?) A abcd? B adcb? C bcda? D dacb 小题3:关于我国四次人口普查的人口年龄构成叙述正确的是(?) A 0——14岁人口比重降低,社会的抚养负担减轻,有利于经济建设 B 15——64岁人口比重正在提高,我国人口年龄结构正向着合理化方向发展 C 我国65岁以上人口比重降低,人口老龄化问题逐渐得到解决 D 我国应健全养老保障和服务体系,应对老龄化问题
参考答案: 小题1:A 小题2:C 小题3:D
本题解析: 小题1:三轴坐标的读图应注意利用每条横坐标的原点位置确定相应的纵坐标,并以与纵坐标平行的原则读数,故根据0—14岁人口的横坐标原点位置确定相应的纵坐标,与纵坐标平行原则读数约为17%。 小题2:随着我国计划生育政策的实施,我国的人口出生率不断下降,而导致了0—14岁的少年儿童人口比重不断下降,故直接根据四点的0—14岁人口的比重变化判断即可。 小题3:直接根据四次人口普查的各个年龄段的人口比重变化判断,少年儿童人口比重下降,但65岁以上的老年人口比重上升,15—64岁人口比重上升,反映了老龄化加重,故应完善养老保障体系,应对老龄化问题。 点评:本题难度一般,掌握多轴坐标的准确读图是解题的关键,注意利用每条横坐标的原点位置确定相应的纵坐标,进而读数;并能结合我国的人口增长特征和产生的人口问题分析即可。
本来源:91考试网 www.91eXam.org题难度:一般
5、单选题 如图是我国人口构成比例示意图,读图,判断下列说法正确的是? (? )
 A.我国的女性比重小于男性,性别比小于1,而且比例严重失调 B.我国的城市化水平还比较低,所以人口政策还是要大力推进乡村人口向大城市迁移 C.我国的老年人口比重进一步上升,立即就要进入老龄化社会 D.我国已进入老龄化社会,需要努力发展经济,在发展中解决其导致的一系列问题
参考答案:D
本题解析:性别比是100个女性对应的男性数量。我国的城市化政策是严格控制大城市规模。因为我国65岁及其以上人口比例已达到7.7%,所以我国已经进入老龄化社会。
本题难度:简单
|