| 高考省级导航 | |
|
|
|
高考地理知识点总结《地理环境的地域分异规律》考点预测(2017年强化版)(六)
A.30°S,118°E B.23.5°N,130°E C.44°S,173°E D.30°N,118°E |
参考答案:
小题1:C
小题2:A
小题3:B
本题解析:
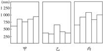
①组年轮最密,说明树木生长速度最慢,与乙图相对应;甲图中的第五个年份降水最多,与②组年轮吻合;丙图中的第三个年份降水最多,正好③组中第三个年轮最宽。
由题目可判断其位于南半球,根据其最冷月气温高于0 ℃,判断它应位于亚热带,或温带海洋性气候区。A地点位于澳大利亚西南属于地中海气候区,B地点在台湾东南的太平洋上,C地点在新西兰东部的太平洋上,D地点在我国长江中下游地区。
本题难度:简单
2、单选题 古诗是中华民族灿烂文明的一个重要组成部分,许多古诗不仅诗句优美,表达作者情感丰富,同时还蕴含着科学知识。根据地域分异规律的知识及图,回答题。 
小题1:“五原春色归来迟,二月垂柳未挂丝。即今河畔冰开日,正是长安花落时”,其中描述的现象
A.是一种地方性分异规律
B.是两地水分差异造成的
C.是由于流经两地的河流不同造成的
D.反映了纬度地带分异规律
小题2:“羌笛何须怨杨柳,春风不度玉门关”,从地理角度理解
A.说明了冬季风到达不了玉门关
B.反映了从沿海到内陆水分条件的差异
C.反映了玉门关的热量条件不适合杨柳种植
D.反映了玉门关以西绝对无杨柳生长
参考答案:
小题1:D
小题2:B
本题解析:
小题1:由图中城市位置可知,五原的纬度高于长安(现西安),所以五原的春天来较长安迟,当五原河畔冰开,气温回升时,长安春天已近尾声。这说明两地热量的差异,反映了从赤道到两极的地域分异规律。
小题2:“羌笛何须怨杨柳,春风不度玉门关”,这句诗是说夏季风带来的水汽难以到达玉门关,这反映的是从沿海到内陆的地域分异规律。
点评:本题难度一般,学生只要掌握自然地理环境两种主要的地域分异规律及形成的基本条件,并能结合图示的地理位置具体分析即可。
本题难度:一般
3、单选题 如图为青藏高原及我国温带若干自然带的关系图式。读图回答下题。
小题1:R所代表的自然带可能是( )
A.苔原带
B.温带草原带
C.亚寒带针叶林带
D.温带落叶阔叶林带
小题2:导致自然带沿OF方向发生变化的主导因素是( )
A.热量
B.水分
C.风力
D.光照
参考答案:
小题1:B
小题2:A
本题解析:
小题1:本题主要考查自然带的判读以及获取和解读信息的能力。由图可知,纵坐标由O到F体现的是山地垂直地带性,由山麓R地区向上自然带为山地草原带、高山草原带;横坐标由O到E体现的是以水分为基础的从沿海向内陆的地域分异规律,R自然带位于温带荒漠带与山地针阔叶混交林带之间。综合分析可知,R自然带为温带草原带。
小题2:本 题主要考查影响自然带分布的因素以及调用知识的能力。自然带沿OF方向体现的是以热量为基础的山地垂直地带性自然带变化规律。
本题难度:一般
4、综合题 读“沿20°E经线地理剖面图”(图13),回答问题:(8分)
(1)写出代码处的自然带名称:
A__________;
C__________;
D__________。
(2)从A到Y的自然带变化,体现了_____地带往的变化规律,产生这种变化的根本原因是____________。
(3)G山名称是____山,其南坡雪线比北坡_____,原因是______________。
参考答案:
(1)亚热带常绿硬叶林 热带草原 热带雨林
(2)从赤道到两极 太阳辐射从赤道向两极递减
(3)阿尔卑斯 高 北坡为西风控制,降水量多
本题解析:略
本题难度:简单
5、单选题 某山共分布三类原生森林。下图显示三类森林每年每平方米净增的有机物质干重(NPP与温度变化,降水量变化的关系。据此完成1—3题。
1、上图信息显示,三类森林中
[? ]
A.②的NPP对温度的变化最不敏感
B.NPP与温度变化都成正相关
C.②的NPP对降水的变化最敏感
D.NPP对降水的变化都很敏感
2、三类森林分布的海拔自低至高依次是
[? ]
A.③①②
B.③②①
C.①②③
D.①③②
3、若①为针阔叶混交林,则该山可能位于
[? ]
A.河南省
B.吉林省
C.安徽省
D.福建省
参考答案:1、A
2、C
3、B
本题解析:
本题难度:一般
| 【大 中 小】【打印】 【繁体】 【关闭】 【返回顶部】 | |
| 下一篇:高考地理答题模板《区域地理环境.. | |