高考省级导航

全国 A安徽 B北京 C重庆 F福建 G广东 广西 甘肃 贵州 H河南 河北 湖南 湖北 黑龙江 海南 J江苏 江西 吉林 L辽宁 N内蒙古 宁夏 Q青海 S山东 山西 陕西 四川 上海 T天津
     X新疆 西藏 Y云南 Z浙江

高考地理高频试题、高中地理题库汇总-压中真题已成为一种习惯

地球与地图 地球 地图: 地图的基本知识 等值线图 宇宙中的地球 宇宙环境: 地球是太阳系中 太阳对地球的影响 地球运动及其地理意义: 地球运动的地理意义 地球的圈层结构 宇宙探测 人类认识的宇宙 物质运动和能量交换 地壳物质循环 内力作用与地貌 大气的热状况 大气受热过程 大气运动 全球气压带 常见的天气系统 气候类型及其判断 大气的圈层结构 水的运动 陆地上水体 世界洋流分布 水资源利用 整体性和差异性 自然环境 地理环境的整体性: 自然地理要素 地域分异规律 陆地自然带 自然对人类影响 地表形态对聚落及交通 全球气候变化 资源对人类生存: 自然资源的分布和利用 自然灾害发生 人口与城市 人口与地理环境: 人口增长与人口问题 人口迁移 人口分布 人口性别 城市与地理环境: 城市的空间结构 城市化的过程和特点 城市的区位因素 地域文化 生产活动 农业生产活动 农业区位因素 农业地域类型 工业生产 工业区位因素 传统工业区和新兴工业区 交通运输 现代交通运输方式 交通运输线路 交通运输布局 城市交通的特点 商业中心和国际贸易 区域可持续发展 区域工业化 区域农业生产 人类与地理环境 人地关系思想 主要环境问题 可持续发展 区域地理环境 地理信息技术的应用 遥感(RS) 全球定位系统 地理信息系统 区域生态环境的建设 荒漠化的防治 水土流失的治理 森林的开发和保护 区域地理 世界地理 世界分区地理 中国地理 中国地理概况 中国的河流和湖泊 中国的农业和工业 中国的天气和气候 中国的自然资源 中国区域差异 东部季风区 国土整治 选修部分 宇宙与地球 太阳系和地月系 海洋地理 海洋和海岸带 海洋环境问题 海洋开发 海洋权益 旅游地理 旅游活动设计 旅游景观的欣赏 旅游与区域发展 旅游资源的类型与分布 旅游资源的综合评价 文化景观 文明旅游 城乡规划 自然灾害与防治 自然灾害与环境 主要自然灾害 自然灾害 防灾与减灾 环境保护 资源问题 生态环境保护 生态问题 环境污染与防治 环境与环境问题 环境管理 环境与发展问题 地理信息技术应用 3S技术综合应用 地图与遥感 综合专题

高考地理题《世界洋流分布规律及其对地理环境的影响》高频考点预测(2017年最新版)(十)
2017-08-09 17:48:06 来源:91考试网 作者:www.91exam.org 【
微信搜索关注"91考试网"公众号,领30元,获取公务员、事业编、教师等考试资料40G!

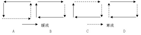
1、单选题  在图2-4“四幅洋流分布模式图”中,符合北半球中、低纬度海
区大洋环流分布规律的是(?)


参考答案:B


本题解析:
洋流分布规律:①中低纬度海区形成以副热带高压为中心的大洋环流,北顺南逆;②北半球中高纬度海区形成以副极地低压为中心的逆时针大洋环流;③南纬40°附近海域形成环球性西风漂流。由低纬度流向高纬度的是暖流,北半球的西风漂流为暖流。所以本题选择B选项。


本题难度:一般



2、单选题  图为某海域海水等温线分布图,读后回答下题。

小题1:关于该海区所在半球和洋流性质的叙述,正确的是
A.北半球、暖流
B.北半球、寒流
C.南半球、暖流
D.南半球、寒流

小题2:关于该洋流对沿岸气候影响的叙述,正确的是?
A.增温、增湿
B.增温、减湿
C.降温、增湿
D.降温、减湿


参考答案:
小题1:D?
小题2:D


本题解析:本题考查洋流。
小题1:根据图示的等温线分布:越往北,温度越高,判断为南半球;图示洋流从水温较低处流向水温较高处,判断为寒流。选D项。
小题2:由于图示洋流为寒流,故对沿岸气候起降温减湿的作用。


本题难度:一般



3、单选题  下列渔场的形成,与暖流无关的是
A.秘鲁渔场
B.北海渔场
C.纽芬兰渔场
D.北海道渔场


参考答案:A


本题解析:北海渔场、纽芬兰渔场和北海道渔场都因寒暖流交汇而形成,而秘鲁渔场的形成是由于秘鲁寒流为上升补偿流,与暖流无关。
点评:本题解题的关键是掌握世界渔场的主要形成原因,本题还可结合知识拓展,分析西澳大利亚寒流、本格拉寒流对渔场形成的影响。


本题难度:简单



4、单选题  每隔4~7年,秘鲁渔场的捕鱼量就会出现大幅度下降,这种现象产生的主要原因是
A.赤道附近的东部太平洋表层海水温度下降
B.厄尔尼诺现象导致秘鲁沿岸的涌升流减弱
C.拉尼娜现象导致秘鲁沿岸的涌升流增强
D.厄尔尼诺现象导致太平洋东岸比常年更干燥


参考答案:B


本题解析:秘鲁渔场位于赤道东太平洋海域,秘鲁西侧。该水域因盛行上升水流,上层饵米丰富,鱼群聚集,而成为世界四大渔场之一。厄尔尼诺的发生,使该渔场的捕鱼量降低。秘鲁渔场捕鱼量的减少,主要原因是鱼群数量的减少。
点评:本题难度一般,学生结合秘鲁渔场的成因根据厄尔尼诺现象的特征可归纳出厄尔尼诺现象对秘鲁鱼群有以下几方面影响:
1.秘鲁寒流通过秘鲁渔场,因而该渔场主要以冷水性鱼类为主。厄尔尼诺能使海水急剧升温,洋面平均温度骤升。冷水性鱼类因不能适应这种环境而大量死亡,致使鱼群数量锐减。
2.厄尔尼诺现象致使水中含氧量减少。因氧在水中的溶解度与温度成反比,厄尔尼诺现象招致海水温度升高,来源:91考试网 www.91exAm.org水中氧的含量降低,鱼类因缺氧而死亡。
3.秘鲁渔场位于东南信风带,在东南信风和近岸海域的离岸风作用下,盛行涌升流,鱼类食物丰富。厄尔尼诺现象的爆发,会导致东南信风减弱,使该渔场涌升流削弱,鱼类食物减少,鱼类数量因而减少。
综合以上分析,厄尔尼诺现象将影响鱼类生存环境,致使鱼类数量减少,最终导致捕鱼量的减少。


本题难度:一般



5、综合题  读图16,完成下列各题。(8分)

⑴图示a、b、c、d洋流构成了?(中低纬或中高纬)海区的大洋环流。
⑵a、c洋流中,属于暖流的是?;c洋流对沿岸气候具有?作用。
⑶若此图表示太平洋洋流环流模式,某油轮在甲处海域发生原油泄漏事故,原油可能随?
?(洋流名称)流向?(方向)扩散。


参考答案:(1)中低纬度?(2)a?降温减湿?(3)日本暖流?北


本题解析:本题考查洋流。
(1)根据图示环流的中心位置(30°N);判断为中低纬环流;
(2)根据北半球的洋流方向,来自较低纬度(自南向北流)的洋流为暖流;c为寒流,对
沿岸气候的影响:降温减湿。
(3)注意利用沿岸的地理位置来记忆洋流名称;若在太平洋,甲位于亚欧大陆东岸,为日
本暖流,洋流对污染的影响:加快净化速度,扩大了污染范围。


本题难度:一般



】【打印繁体】 【关闭】 【返回顶部
下一篇高考地理题《大气的热状况与大气..

网站客服QQ: 960335752 - 14613519 - 791315772