| 高考省级导航 | |
|
|
|
高考地理高频考点《水的运动》高频考点预测(2017年最新版)(二)
A.南岸 B.北岸 C.东岸 D.西岸 参考答案: 本题解析: 本题难度:一般 2、单选题 图甲为“大陆东岸的某河段示意图”,图乙为“图甲中EF处的河床横断面图”。读图完成下列各题。 |
参考答案:
【小题1】C
【小题2】B
本题解析:
【小题1】结合图乙中E岸堆积(即左岸),F岸侵蚀(即右岸)判断,可推知图甲中地区位于北半球,由图甲地处大陆东岸,植被为落叶阔叶林知,该地为温带季风气候(或温带大陆性气候)分布区,图乙中地质构造为背斜,离河岸越远,岩石年龄越新,A错;根据指向标及河流流向可判断地势南高北低,B错;④处为凹岸以侵蚀为主,②③为凸岸以堆积为主,C对;④处侵蚀作用强,水深利于建港,D错。
【小题2】由上题分析知该地位于北半球,A错;该河流流经温带地区,且地势南高北低,由较低纬流向较高纬度,故可能会发生凌汛,B对;该河段位于温带季风气候区,降水的季节变化大,故该河流全年流量变化大,C错;地下水由高潜水位流向低潜水位,且垂直于等潜水位线,故图中地下水的流向背离河流,河水补给地下水,D错。
考点:本题考查河流的水文特征、地质构造。
本题难度:一般
3、单选题 所给四幅图中,位于东北地区的河流是(? )
参考答案:A
本题解析:东北地区的河流存在双汛期,即春汛和夏汛。其形成是:冬季下的雪因为当时的气温较低没能融化,到第二春季到来时,气温升高,冰雪融化形成春汛;夏季是因为大气降水而形成的夏汛。
点评:本题主要考查考生对不同补给方式下的河川径流的特点的理解,,综合性较强,难度较大。
本题难度:一般
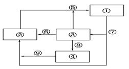
4、单选题 读下图水循环示意图,若图中数码①②③④表示海洋水、大气水、地表水和地下水,则数码①②③④依次表示( )
A.海洋水、大气水、地表水、地下水
B.大气水、海洋水、地表水、地下水
C.海洋水、大气水、地下水、地表水
D.大气水、海洋水、地下水、地表水
参考答案:B
本题解析:水循环过程实际上就是海洋水、大气水、地表水、地下水之间的相互转化过程。解题时可采用尝试法解题,把四者填进去以后,结合水循环的环节,看其是否符合水循环的过程。根据图示③④之间的关系及与①②之间的关系可判断:③为地表水;④为地下水,则②为海洋水,①为大气水。
点评:本题难度低,学生只要掌握自然界的水体在海洋、大气和地表、地下的相互转化关系,并结合水循环的主要环节分析即可。
本题难度:一般
5、单选题 读“2月份大洋表面海水等温线分布图”,回答以下问题。
【小题1】A海区比B海区等温线稠密的原因是( )
①有暖流经过 ②寒暖流交汇 ③温差大 ④温差小
A.①③
B.②④
C.①④
D.②③
【小题2】甲处洋流对沿岸气候的影响主要是( )
①增温 ②降温 ③增湿 ④减湿
A.①③
B.②④
C.①④
D.②③
参考答案:
【小题1】D
【小题2】B
本题解析:
【小题1】A海区南部受墨西哥湾暖流暖流影响,北部受拉布拉多寒流影响,南北温差大,等温线稠密;而B海域北部纬度高,水温低,但暖流的增温作用使该海区水温升高,因此南北温差小,等温线稀疏。
【小题2】甲处洋流为加那利寒流,具有降温减湿的作用。
考点:洋流对地理环境的影响
本题难度:一般
| 【大 中 小】【打印】 【繁体】 【关闭】 【返回顶部】 | |
| 下一篇:高中地理知识点复习《人口分布与.. | |